《生活垃圾填埋場污染控制標準》(GB16889—2008)實施以來,由于“生化+膜濾”組合工藝具有同步去除有機物與無機鹽的優勢,已被廣泛應用于國內生活垃圾填埋場的垃圾滲濾液處理中。然而,膜工藝中廢水回收率通常為60%~80%,會產生20%~40%的膜濃縮液。垃圾滲濾液濃縮液成分復雜,具有有機物含量高、可生化性差、鹽度高并含有一定量重金屬的特點,處理不當容易造成二次污染。目前,回灌是垃圾滲濾液膜濃縮液的主要處置方式,但回灌次數增加會導致前端膜系統通量降低、膜的使用壽命減少等問題,最終影響系統的整體運行效果。因此,回灌法并不能從根本上解決垃圾滲濾液膜濃縮液的問題,亟需更加安全有效的方法實現對這類廢水的高效處理。
高級氧化技術通過產生強氧化性自由基,如羥基自由基(·OH),可有效分解難降解有機物,使其斷鏈轉化為小分子物質,最終礦化成CO2與H2O,已被廣泛應用于各類實際廢水處理中。芬頓技術作為一種簡單、高效的高級氧化技術有望應用于垃圾滲濾液及其膜濃縮液的處理中,但因其藥劑投加量大、產生污泥多的缺點而一直未在膜濃縮液處理領域被推廣。紫外光芬頓(UVFenton)是一種高級氧化技術,相比于傳統芬頓技術,紫外光能有效加速Fe(Ⅲ)與Fe(Ⅱ)的循環過程、提升·OH產生速率,在有效提高污染物去除效果的同時能降低亞鐵試劑的用量,降低二次污染風險。徐蘇士采用UVFenton處理垃圾滲濾液膜濃縮液時,COD去除率為73.1%。隨著紫外光源技術的發展,更高功率的低壓紫外汞燈可以在有效提升COD去除率的同時降低藥劑投加量,有望替代傳統低功率低壓紫外汞燈應用于水處理行業。張禾蘇研究發現,在相同藥劑投加量下,提升紫外光源功率對氯苯和環己酮的去除率有顯著提升。但上述研究在提高紫外芬頓中紫外光源功率對處理濃縮液效果的影響并不充分,缺乏中試工藝條件的優化及污染物微觀變化分析。
筆者以深圳某垃圾填埋場滲濾液膜濃縮液作為研究對象,通過正交試驗優化高功率紫外光芬頓(HP-UVFenton)處理膜濃縮液的工藝條件,并利用三維熒光光譜(EEM)與軌道離子阱高分辨質譜(OrbitrapMS)分析HP-UVFenton與低功率紫外光芬頓(LP-UVFenton)對膜濃縮液中DOM去除轉化的影響。在此基礎上,提出高效處理垃圾滲濾液膜濃縮液的可行工藝。
1、材料與方法
1.1 試驗水質
試驗用水來自深圳某生活垃圾填埋場滲濾液生化處理出水納濾膜濃縮液(簡稱膜濃縮液)。該膜濃縮液的水質參數如下:COD為2120mg/L,TOC為921mg/L,總氮為238mg/L,BOD5為0.06mg/L,pH為7.6。經過聚合氯化鋁(PAC)與聚丙烯酰胺(PAM)混凝沉淀處理后,出水參數如下:COD為1980mg/L,TOC為882mg/L,總氮為221mg/L,BOD5為0.08mg/L。下述試驗如未經特殊說明均為上述混凝沉淀出水。
1.2 UVFenton反應裝置
UVFenton反應裝置為自制半自動化中試設備,主要包括反應腔體、石英套管、紫外光源(低功率光源LP:30W低壓紫外汞燈;高功率光源HP:300W低壓紫外汞燈)、冷卻腔體、紫外輻照檢測器、蓄水箱等。紫外反應器的腔體容積為2.5L,石英管壁至反應腔內壁寬度為25mm,外置蓄水箱容積為75L,蓄水箱內置攪拌槳。試驗裝置如圖1所示。

1.3 試驗方法
試驗開始前,打開紫外光源(LP燈管、HP燈管)預熱15min,通過控制紫外光源工作時長調控系統紫外輸入能量。膜濃縮液進入UVFenton反應裝置前,對其進行混凝沉淀處理,取25L上清液置于蓄水箱中,用硫酸調節pH至試驗條件,并依次加入一定量FeCl2和雙氧水,打開循環水泵開始試驗。運行4h后,取樣調節pH至8并添加PAM,靜置1h后取上清液,測定COD、TOC、TN、BOD5等指標。混凝沉淀所用混凝劑為10%聚合氯化鋁(PAC),所用絮凝劑為0.1%的聚丙烯酰胺(PAM),試驗中所用雙氧水(27.5%)、FeCl2·4H2O、NaOH、H2SO4、PAC、PAM等均為市售分析純級。
采用正交試驗的方法,以COD去除率為試驗指標,獲取HP-UVFenton最優的工藝參數。針對UVFenton體系中pH、H2O2投加量、Fe(Ⅱ)投加量、紫外燈能耗4個因素,設置三水平正交試驗,其中,pH設為2、3、4,H2O2投加量設為0.08、0.16、0.32mol/L,Fe(Ⅱ)投加量設為0.01、0.03、0.09mol/L,紫外燈能耗設為0.75、1.4、2.8kW·h/m³。
1.4 檢測項目及方法
COD采用《水質化學需氧量的測定快速消解分光光度法》(HJ/T399—2007)測定;溶解性總有機碳(TOC)、TN采用有機碳測試儀測定;BOD5采用《水質五日化學需氧量(BOD5)的測定稀釋與接種法》(HJ505—2009)測定。BOD5/COD(B/C)代表水樣的可生化性,B/C值越高,水樣可生化性越好。進行三維熒光光譜(EEM)分析時,將待測水樣稀釋至TOC為10mg/L,在激發波長(λEx)為200~500nm與發射波長(λEm)為250~550nm范圍內測試熒光響應,其中掃描間隔為5nm,掃速為6000nm/min。
溶解性有機物(DOM)的提取:分別取一定量膜濃縮液、HP-UVFenton出水、LP-UVFenton出水,按照文獻的方法提取DOM。
OrbitrapMS測定:提取的DOM樣品按照文獻中的方法進行軌道離子阱高分辨質譜分析。對于質譜測試結果,使用MATLAB算法匹配分子式,并將匹配范圍限制在C1~50H1~120O1~50N0~5S0~3P0~2Cl0~3的組合內。
2、結果與討論
2.1 HP-UVFenton工藝條件優化
HP-UVFenton處理垃圾滲濾液膜濃縮液正交試驗結果見表1。Fe(Ⅱ)與H2O2反應可產生·OH,故Fe(Ⅱ)與H2O2的投加量直接影響·OH產量。紫外光的存在能促進UVFenton反應過程中Fe(Ⅲ)與Fe(Ⅱ)的循環,并促進H2O2產生·OH。pH會影響芬頓反應速率,所以UVFenton反應過程中上述4個因素均可影響反應效率。由表1可知,極差分析中4個因素的極差排序為Fe(Ⅱ)投加量>H2O2投加量>燈能耗>pH。所以在HP-UVFenton過程中,對COD去除率影響的主次順序為Fe(Ⅱ)投加量、H2O2投加量、燈能耗、pH。比較同一因素下Ki發現,HP-UVFenton取得COD去除率最高的試驗條件如下:pH為3、H2O2投加量為0.32mol/L、Fe(Ⅱ)投加量為0.03mol/L、燈能耗為2.8kW·h/m³。對正交分析中得到的最佳條件進行驗證,得出在該條件下COD去除率為85%,略優于試驗組中第9組的最佳去除率83%。由于在第9組試驗條件下COD去除率已經達到較高水平,水體中大部分有機物被有效去除,繼續增加H2O2投加量對污染物去除效果的提升有限,所以在正交試驗最佳條件下污染物的去除效果沒有明顯提升。

考慮實際經濟成本,以第9組試驗條件作為HP-UVFenton處理膜濃縮液的最優反應條件,即pH為4、H2O2投加量為0.08mol/L、Fe(Ⅱ)投加量為0.03mol/L、燈能耗為2.8kW·h/m³,在此條件下出水COD為336mg/L、TOC為326mg/L、總氮為134.81mg/L、BOD5提升至84mg/L,即COD去除率為83%、TOC去除率為63%、總氮去除率為39%、B/C提升至0.25。
2.2 HP-UVFenton與LP-UVFenton效能分析
2.2.1 處理效果分析
在pH為4、H2O2投加量為0.08mol/L、Fe(Ⅱ)投加量為0.03mol/L、燈能耗為2.8kW·h/m³條件下,對比HP-UVFenton和LP-UVFenton處理垃圾滲濾液膜濃縮液的性能,結果如圖2所示。可以看出,同等條件下HP-UVFenton體系中COD去除率達到83%,比LP-UVFenton高13%;TOC去除率為63%,比LP-UVFenton體系高12%;在TN去除率方面,兩者無明顯差異;對于可生化性而言,HP-UVFenton出水B/C值為0.25,而LP-UVFenton為0.15。UVFenton反應過程中對污染物的去除主要依靠式(1)中產生的·OH。在相同的藥劑投加量下,LP-UVFenton和HP-UVFenton對污染物的去除效果存在差異性的主要原因可能是,兩個體系中紫外光對鐵循環的促進效果不同,導致了體系中·OH的穩態濃度存在差異。


在LP-UVFenton體系中,低壓紫外光源只能產生波長為254nm的紫外線,此波段紫外線能夠促進Fe(Ⅲ)向Fe(Ⅱ)還原,提高了體系中Fe(Ⅱ)的穩態濃度并可有效提高·OH的產率。而在HP-UVFenton體系中,高功率的紫外光源可以發射出200~400nm的寬波段紫外光,其中UVB段(280~320nm)的紫外光能夠更快速地將Fe(Ⅲ)還原為Fe(Ⅱ),獲得比LP-UV條件下更高的Fe(Ⅱ)和·OH穩態濃度。因此,在相同的試驗條件下,HP-UVFenton對COD和TOC的去除率以及生化性的提升效果均要優于LP-UVFenton。‘2.2.2三維熒光光譜分析
為了評估HP-UVFenton和LP-UVFenton體系膜濃縮液中DOM的變化,分別對膜濃縮液、HP-UVFenton出水、LP-UVFenton出水進行EEM檢測,結果如圖3所示。將EEM譜圖劃分為5個區域,其中Ⅰ區為第1類芳香族蛋白類物質,Ⅱ區為第2類芳香族蛋白類物質,Ⅲ區為類腐殖酸,Ⅳ區為微生物代謝產物,Ⅴ區為類富里酸。濃縮液樣品的熒光吸收峰主要分布在Ⅲ區和Ⅴ區,說明該膜濃縮液中以類富里酸和類腐殖酸等大分子物質居多,還有少量分布在Ⅳ區和Ⅱ區的溶解性微生物代謝產物和類色氨酸。經過UVFenton處理后,膜濃縮液中類富里酸、類腐殖酸、微生物代謝產物等大分子有機物被大量去除,而類色氨酸等小分子物質的峰強度并無明顯變化,可能是因為·OH與大分子有機物反應將其分解為小分子物質,但無法完全將小分子物質礦化,導致了小分子物質的累積。相比于LP-UVFenton,HP-UVFenton處理膜濃縮液后DOM的變化趨勢存在一定差異。圖3(b)中Ⅲ區(類腐殖酸)與Ⅴ區(類富里酸)的熒光峰響應值明顯低于圖3(c),說明HP-UVFenton對水中腐殖酸與富里酸的去除效果優于LP-UVFenton,這很可能是由于HP-UVFenton體系中Fe(Ⅱ)的穩態濃度更高,可以產生更多的·OH。

2.2.3 OrbitrapMS分析
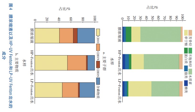
考慮到EEM只能識別具有熒光特性的DOM,而膜濃縮液中可能還存在大量無熒光特性的DOM,所以利用高分辨質譜OrbitrapMS進一步對DOM進行表征。通過對OrbitrapMS數據進行分子式識別,從分子水平分析了膜濃縮液中DOM的組分特征,對比了HP-UVFenton與LP-UVFenton處理膜濃縮液過程中DOM的變化規律。對污水中的化合物根據元素組成(C、H、O、N、S、P等)進行分類,包括含有CHO、CHON、CHOS和磷的化合物,其中CHO和CHON化合物是3種水樣中的主要物質,如圖4所示。CHO和CHON化合物在膜濃縮液、HP-UVFenton出水以及LP-UVFenton出水中的占比分別為64.3%、86%、72.7%。進一步分析圖4還可以發現,HP-UVFenton體系對CHON與含磷化合物的去除率相比LP-UVFenton要高。結合上述HP-UVFenton過程中·OH濃度高于LP-UVFenton的推測,在紫外光芬頓法處理膜濃縮液過程中,·OH更容易攻擊含S、P類化合物。

為了更清楚地了解UVFenton過程中膜濃縮液中DOM的變化趨勢,以O/C(各分子式中O和C的原子數量比)為橫坐標、H/C為縱坐標繪制DOM成分的V-K(VanKrevelen)圖,并根據O/C和H/C的范圍將V-K圖劃分為7個區域,各區域代表不同的DOM組分(糖類、蛋白質、脂類、單寧酸、木質素、不飽和烴、芳香烴),結果如圖5所示。其中,O/C越大或者H/C越小代表物質具有更高的氧化程度或更低的鍵飽和度,在以·OH為主要氧化劑的體系中,氧化程度高的物質更難被去除。

從圖5可以看出,HP-UVFenton出水中O/C>0.6的單寧酸區域中物質數量為857個,少于LPUVFenton出水的1152個,表明HP-UVFenton體系對膜濃縮液中高氧化度的物質有更好的去除效果。雖然·OH對高氧化度物質的氧化能力有限,但HPUVFenton體系中·OH的濃度高于LP-UVFenton體系,所以HP-UVFenton體系中這種更高的去除效果應該歸因于高濃度的·OH。
對比HP-UVFenton和LP-UVFenton出水以及膜濃縮液的DOM,篩選出了兩個UVFenton過程中保留、去除和生成的分子式并繪制V-K圖,見圖6。

LP-UVFenton體系中去除的物質(紅點)有91%集中在低氧化度區域(O/C0.6)占比為47%,這與圖4(a)中觀察到的單寧酸在HP-UVFenton體系中含量要遠低于LP-UVFenton體系一致。以上結果說明,·OH在濃度低時會優先與低氧化度的物質發生反應并生成高氧化度物質,由于LP-UVFenton體系中·OH含量有限,大部分與低氧化度的物質反應,而不能與高氧化度的物質反應,但在HP-UVFenton體系中,高濃度·OH保證了低氧化度和高氧化度的物質均被反應去除。
通過計算HP-UVFenton和LP-UVFenton的出水樣品中O/C、H/C、雙鍵當量的加權平均數(O/Cwa、H/Cwa、BDEwa),進一步證實HP-UVFenton對濃縮液中DOM的去除效果。O/Cwa、H/Cwa分別表示樣品DOM氧化程度與H鍵的飽和程度,BDEwa表示樣品DOM中雙鍵當量。O/C值越大表示水樣中DOM氧化程度越高,O/H值越大則表示DOM氫鍵飽和程度越高,BDE值越大代表樣品中DOM雙鍵當量越高。計算方法參照文獻。經計算,膜濃縮液的O/Cwa值為0.549,H/Cwa值為1.231,BDEwa值為6.378;HP-UVFenton出水的O/Cwa值為0.619,H/Cwa值為1.204,BDEwa值為5.730;LP-UVFenton出水的O/Cwa值為0.658,H/Cwa值為1.189,BDEwa值為5.869。HP-UVFenton與LP-UVFenton的差別表明,HPUVFenton出水中DOM整體的氧化程度低于LPUVFenton的。HP-UVFenton的BDEwa值低于LP-UVFenton,說明HP-UVFenton出水中DOM物質的不飽和度低于LP-UVFenton,HP-UVFenton體系去除的物質中高氧化度物質(O/C>0.6)占比為47%,由于穩態濃度較高的·OH對于DOM中高氧化度的物質有去除效果,使HP-UVFenton中部分高氧化度的物質被徹底礦化,導致HP-UVFenton出水中DOM的氧化程度低于LP-UVFenton。
2.3 成本分析
HP-UVFenton與LP-UVFenton在pH為4、H2O2投加量為0.08mol/L、Fe(Ⅱ)投加量為0.03mol/L、燈能耗為2.8kW·h/m³的條件下,處理成本均為58.01元/m3,雙氧水為主要成本支出,占總成本的70.7%,在相同處理成本下HP-UVFenton對污染物的去除效果優于LP-UVFenton。
3、結論
①采用HP-UVFenton工藝處理膜濃縮液時,通過正交試驗確定優化條件如下:pH為4、H2O2投加量為0.08mol/L、Fe(Ⅱ)投加量為0.03mol/L、燈能耗為2.8kW·h/m³、處理時間為4h,在此條件下對COD、TOC、總氮的去除率分別為83%、63%、39%,BOD5提升至84mg/L。
②在同等加藥量與能耗情況下,與LP-UVFenton相比,HP-UVFenton對膜濃縮液中COD的去除率高13%,對TOC的去除率高12%,對TN的去除率無明顯區別。在可生化性方面,HP-UVFenton出水的B/C達0.25,而LP-UVFenton僅為0.15。
③HP-UVFenton對膜濃縮液中腐殖酸、富里酸等大分子有機物的去除效果更好。雖然·OH對高氧化度物質的去除率低,但相比LP-UVFenton,由于HP-UVFenton產生的·OH濃度較高,對高氧化度物質與含S、P化合物的去除效果遠優于LP-UVFenton,因此HP-UVFenton更適用于物質成分復雜的垃圾滲濾液膜濃縮液的處理。
④在相同運行成本下,使用HP-UVFenton處理膜濃縮液時,對濃縮液中污染物的去除和生化性提升效果優于LP-UVFenton,出水水質可滿足生化系統納入要求,濃縮液處理成本為58.01元/m3,雙氧水成本較高,占整個運行成本的70.7%。(來源:廣東工業大學生態環境與資源學院大灣區城市環境安全與綠色發展教育部重點實驗室,深圳市盤古環保科技有限公司)



