針對現有微氧反應器存在回流能耗高、工程放大困難等問題,設計了2類新型曝氣沉淀一體化微氧反應器。根據污泥滯留能力、污染物去除性能初步測試,優選出升流式矩形反應器和改進型圓形反應器作為沼液處理實驗的微氧反應器。結果表明:2個反應器的平均NH4+-N去除負荷為0.410kg·(m3·d)−1,平均TIN去除負荷為0.105kg·(m3·d)−1,出水SS均小于0.10g·L−1,都擁有優良的滯泥能力和污染物去除能力,無顯著性差異(P>0.05)。在污泥濃度相近的情況下,升流式矩形反應器中污泥的VSS/SS由64.4%增至78.0%,這說明生物量明顯增加,而改進型圓形反應器中污泥的VSS/SS降至62.1%;污泥指數顯示升流式矩形反應器的污泥沉降性能更好。從污泥性狀和工程放大可能性考慮,升流式矩形反應器更適合在工程上應用。
我國是生豬生產和豬肉消費大國,生豬養殖業在國計民生中具有重要地位。隨著生豬養殖規;l展,在一些地區產生了大量含高濃度有機物和氮、磷等物質的豬場廢水,對周邊環境產生污染。豬場廢水處理模式大致有2種:還田利用和達標處理。廢水經過無害化處理后用作肥料還田(還田利用)是最理想的處理利用方式,但需要大量供還田的土地,對于周邊土地有限的大型和特大型豬場,達標處理仍然是一種現實選擇。
豬場廢水達標處理通常采用厭氧-好氧組合工藝。在組合工藝中,厭氧段主要去除高濃度有機物并回收可再生能源—沼氣,未被去除的氮素會導致厭氧消化液(沼液)呈現低碳氮比(C/N)廢水的特征。厭氧出水的生化后處理單元主要采用傳統序批式活性污泥法(SBR)和缺氧/好氧活性污泥法(A/O),但這些工藝處理沼液的脫氮效果均比較差,主要是因為沼液缺乏易降解有機物,不能滿足傳統反硝化脫氮的需求。
近年來,一些研究者采用微好氧脫氮技術處理沼液,取得了較好的脫氮效果。微氧脫氮技術是將反應體系的溶解氧質量濃度(DO)控制在0.3~1.0mg·L−1,在同一反應器中同時實現有機物降解和氨氮、總氮的去除。已有研究表明,在低溶解氧條件下處理沼液,處理系統中能建立短程硝化-厭氧氨氧化-反硝化(SNAD)混合脫氮體系,存在短程硝化-厭氧氨氧化和短程硝化-反硝化2種脫氮過程,可以使自養菌、異養菌在微氧環境中共存。與傳統脫氮工藝相比,微氧脫氮技術具有較好脫氮效果,并且可長期在低溶解氧狀態下運行,N2O的排放量能減少54%。
目前,微氧脫氮技術主要采用升流式微氧活性污泥反應器(UMSR)和內曝氣升流式反應器(IAUR)進行處理。UMSR采用在出水池中曝氣和部分回流的方式來控制反應器內溶解氧濃度,導致其混合液回流比高,能耗大;IAUR設計結構復雜,工程上難以大規模應用。本研究基于IAUR反應器和升流式厭氧污泥床(UASB)的原理設計了曝氣沉淀一體化微氧反應器(ASIMR),以污泥滯留能力和污染物去除性能為指標初步優選出2種反應器后,進行沼液處理實驗,通過污染物去除性能、污泥滯留能力和活性污泥性狀等指標來優選出更適合工程應用的微氧反應器。
1、材料與方法
1.1 實驗材料
實驗進水(沼液)取自四川省成都市雙流區某規;i場;钚晕勰嗳∽运拇ê嗞柲骋幠Xi場廢水處理工程好氧脫水污泥。
1.2 實驗裝置
參考IAUR反應器設計了圓形曝氣沉淀一體化反應器(圓形反應器,簡稱ASIMRC),參考平流式沉淀池設計了矩形平流式曝氣沉淀一體化反應器(平流式矩形反應器,簡稱ASIMRFR)。為了提高反應器滯留污泥的能力,又在圓形反應器的基礎上做了改進,設計了改進型圓形曝氣沉淀一體化反應器(改進型圓形反應器,簡稱ASIMRIC)。參考UASB三相分離器的設計原理,改進了平流式矩形反應器的沉淀區,設計了升流式矩形曝氣沉淀一體化反應器(升流式矩形反應器,簡稱ASIMRUR)。
反應器水力停留時間(hydraulicretentiontime,HRT)設計為24h,此時,沉淀區表面負荷<4.5m3·(m2·h)−1、溢流堰水力負荷<1.7L·(m·s)−1、沉淀區HRT為1.5~2h。
1)圓形反應器設計。圓形反應器直徑200mm,高262mm,有效水深172mm,有效容積5.4L;改進型圓形反應器在圓形反應器的基礎上增加高徑比,由圓形反應器的0.86增至改進型的6.10;優化了擋板的結構,在曝氣區與沉淀區交界處增長10mm的擋板,使在不影響污泥回流到反應器的情況下減弱氣流對沉淀區的影響。改進型圓形反應器直徑100mm,高728mm,有效水深688mm,有效容積5.4L。2種圓形反應器的示意圖見圖1。

圖1圓形反應器和改進型圓形反應器示意圖
2)矩形反應器設計。平流式矩形反應器長×寬×高為275mm×80mm×280mm,有效水深210mm,有效容積5.4L;升流式矩形反應器長×寬×高為275mm×80mm×335mm,有效水深250mm,有效容積5.4L。二者的區別在于沉淀區,平流式矩形反應器的沉淀區參照平流式沉淀池設計,同向雙層擋板,二次擋泥;升流式矩形反應器的沉淀參照UASB三相分離器設計,相向雙層擋板,二次擋泥。2種矩形反應器的示意圖如圖2所示。

圖2平流式矩形反應器和升流式矩形反應器示意圖
1.3 實驗方法
1)反應器優選。4個反應器有效容積同為5.4L,裝入相同的活性污泥,反應器內混合液懸浮固體質量濃度(mixedliquorsuspendedsolids,MLSS)為(8.24±0.15)g·L−1,混合液揮發性懸浮固體質量濃度(mixedliquorvolatilesuspendedsolids,MLVSS)為(5.17±0.08)g·L−1。利用蠕動泵(LongerPumpDG15)連續進料,采用重力流出料。采用電磁式空氣泵(ACO-002)曝氣,用玻璃轉子流量計(雙環)控制曝氣量以維持反應器處于微氧(DO為0.3~1.0mg·L−1)狀態。實驗過程中,保持進水水質、HRT、DO范圍一致。
為了分別比較改進型圓形反應器相對于圓形反應器、升流式矩形反應器相對于平流式矩形反應器的性能,將2個圓形反應器設為1組、2個矩形反應器1組分別進行對比實驗,通過對污泥滯留效果、污染物(COD、NH4+-N)的去除效率等指標進行比較,優選出效果較好的反應器再進行后續沼液處理實驗。圓形反應器進水COD、NH4+-N濃度、COD/TIN分別為(507±13.4)mg·L−1、(546±32.0)mg·L−1、(0.93±0.07);矩形反應器進水COD值、NH4+-N濃度、COD/TIN分別為(632±13.7)mg·L−1、(583±13.7)mg·L−1、1.09±0.04。
2)微氧反應器處理沼液實驗。第1階段(1~15d)直接處理沼液;為了富集厭氧氨氧化菌,提升進水NO2−-N濃度,第2階段(16~57d)采用回流出水的方式調節進水水質。接種污泥的MLSS為(7.70±0.06)g·L−1,MLVSS為(4.96±0.02)g·L−1。
實驗過程中,DO控制在0.3~1.0mg·L−1,外加保溫層維持體系溫度為30℃,同時保溫層具有遮光效果。利用蠕動泵(LongerPumpDG15)連續進料,重力流出料,采用電磁式空氣泵(ACO-002)進行曝氣,用玻璃轉子流量計(雙環)控制曝氣量。二者進水水質如表1所示。

3)污泥活性實驗。微氧反應器處理沼液實驗中,每隔14d,分別取出適量污泥測定氨氧化菌(ammoniaoxidizingbacteria,AOB)活性、亞硝酸鹽氧化菌(nitriteoxidizingbacteria,NOB)活性、反硝化菌(denitrifyingbacteria,DB)活性和厭氧氨氧化菌(anaerobicammoniumoxidationbacteria,AnAOB)活性,每組活性實驗做2個平行。取出的污泥混合液用2g·L−1的KHCO3溶液清洗,清洗至不再檢出NH4+-N、NO2−-N、NO3−-N。
將清凈的污泥分配至150mL錐形瓶(AOB、NOB)和100mL血清瓶(DB、AnAOB)中,加入100mL培養基溶液(2g·L−1KHCO3和微量元素)。AOB活性和NOB活性實驗在恒溫搖床(30℃)中曝氣穩定30min,DB活性和AnAOB活性實驗通15min氮氣除去血清瓶中的氧氣后,加蓋置于恒溫搖床(30℃)中穩定30min。再依次在上述活性實驗瓶中分別加入10000mg·L−1的NH4+-N貯備液1mL、10000mg·L−1的NO2−-N貯備液1mL、10000mg·L−1的NO3−-N貯備液和50000mg·L−1的C6H12O6溶液各1mL、10000mg·L−1的NH4+-N貯備液0.50mL和10000mg·L−1的NO2−-N貯備液0.66mL。加入后立即取樣作為初始值,然后AOB、NOB和DB活性實驗間隔1h取樣1mL,AnAOB活性實驗每隔7d取樣1mL。水樣用0.45μm濾膜過濾后測定NH4+-N、NO2−-N、NO3−-N質量濃度。繪制反應底物隨時間變化的線性回歸直線,以確定底物的消耗速率。
4)胞外聚合物(EPS)的提取與測定。微氧反應器處理沼液實驗中,每隔14d,分別取出適量污泥,用PBS緩沖液清洗至上清液無明顯顏色后,按步驟提取EPS(分為S-EPS、LB-EPS和TB-EPS)。每份污泥樣品取30mL在臺式冷凍離心機,在4℃、2000r·min−1條件下離心15min,收集上清液過0.45µm濾膜即為S-EPS;剩余污泥用PBS緩沖溶液稀釋重懸至原體積,在4℃、5000r·min−1條件下離心15min,收集上清液過0.45µm濾膜即為LB-EPS;剩余污泥繼續用PBS緩沖溶液稀釋重懸至原體積,80℃水浴30min,待冷卻至室溫后再在4℃、5000r·min−1條件下離心15min,收集上清液過0.45µm濾膜即為TB-EPS。提取的樣品放在-20℃冰箱保存,分析前取出,EPS中的蛋白采用福林酚法測定,多糖采用蒽酮-硫酸法,蛋白、多糖含量之和即為EPS含量(mg·g−1)。
5)不同運行條件下出水SS的測定。先用2g·L−1KHCO3清洗活性污泥,直至其中幾乎不含有機物、NH4+-N、NO2−-N、NO3−-N,以避免實驗中反硝化、厭氧氨氧化等生化反應對出水SS的影響。再用控制變量法,在其他條件相同的情況下,分別改變曝氣量(HRT穩定在1.75d)、HRT(曝氣量穩定在576L·d−1),用重量法測定出水SS。
6)分析方法反應器優選實驗每天測DO,每天取樣測定反應器進出水的COD、NH4+-N、NO2−-N、NO3−-N、pH,TIN以NH4+-N、NO2−-N、NO3−-N之和計。
微氧反應器處理沼液實驗每天測DO,每3d取樣測定反應器進出水的COD、NH4+-N、NO2−-N、NO3−-N、pH,TIN以NH4+-N、NO2−-N、NO3−-N之和計。每兩周測污泥含量(污泥沉降比(SV30)、MLSS、MLVSS、污泥容積指數(SVI))、污泥物理形態(粒徑分布、體視鏡、電鏡)、污泥活性(AOB活性、NOB活性、DB活性和AnAOB活性)。
COD測定采用COD快速測定儀(LH-3C,中國連華科技有限公司),測定結果采用減去1.14倍NO2−-N的方式進行校正;NH4+-N測定采用《水質氨氮的測定納氏試劑分光光度法(HJ535-2009)》;NO2−-N測定采用《水質亞硝酸鹽氮的測定分光光度法(GB7493-87)》;NO3−-N測定采用《水質硝酸鹽氮的測定紫外分光光度法(試行)(HJ·T346─2007)》;pH采用玻璃電極法(雷磁,上海)測定;出水SS采用重量法;DO采用便攜式溶解氧分析儀(哈西,美國)測定;離心機采用臺式高速大容量冷凍離心機(H2100R,中國湘儀離心機儀器有限公司),粒徑測定采用QICIP動態顆粒圖像分析儀(SYMPATEC,德國);體視鏡采用徠卡顯微系統(Leica-M125,德國),SVI為SV30和MLSS的比值,單位為L·g−1,其中SV30為活性污泥混合液在量筒靜止,沉降30min后污泥所占的體積百分比。
2、結果與討論
2.1 反應器優選
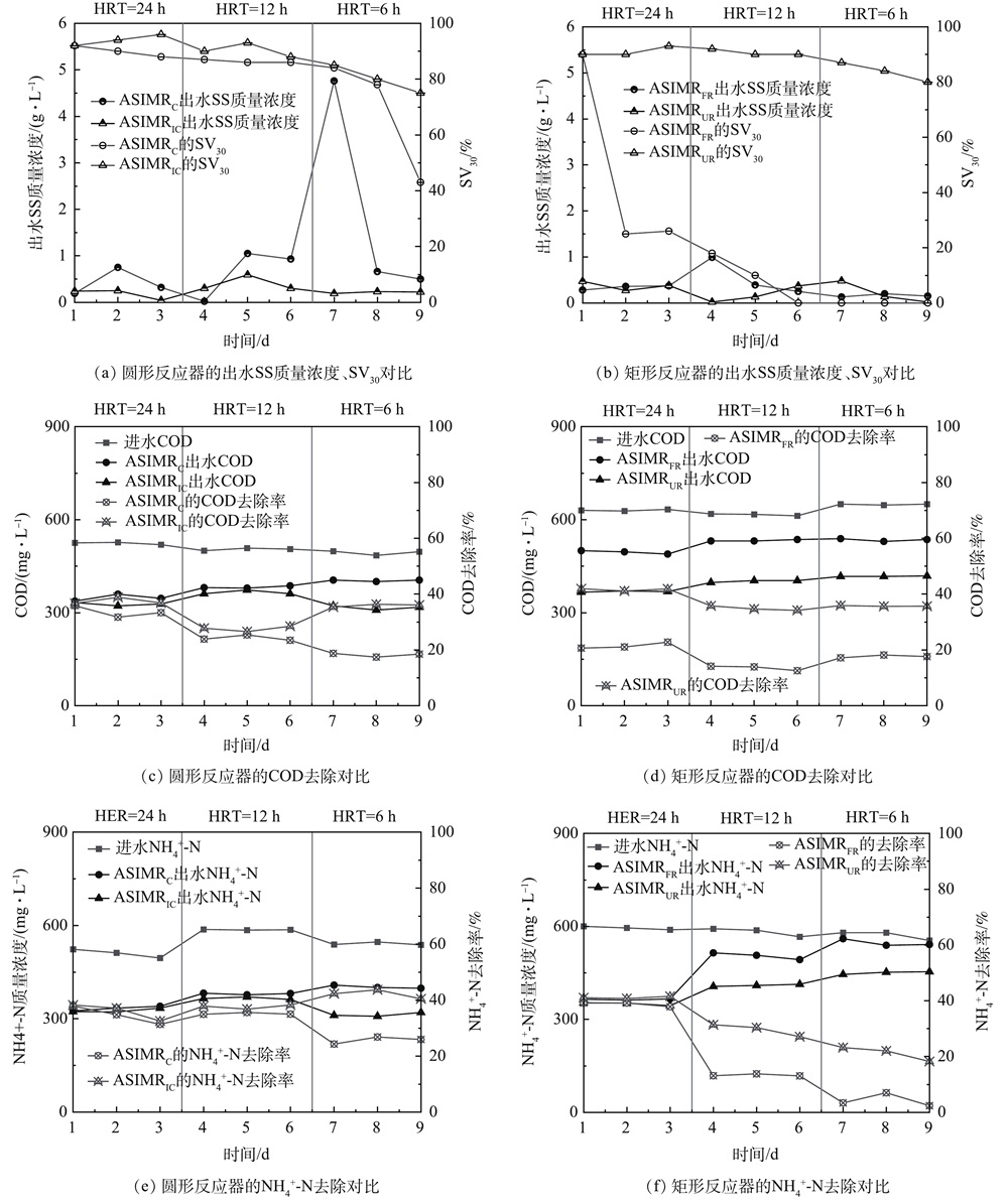
1)圓形反應器優選。污泥滯留能力用出水SS表征,出水SS值越小,則污泥滯留能力越好。2個反應器在HRT為24、12、6h的條件下分別運行3d,肉眼可見改進型圓形反應器的出水澄清,無明顯浮泥,而圓形反應器的出水帶泥。如圖3(a)所示,改進型圓形反應器的平均出水SS為(0.26±0.17)g·L−1,圓形反應器出水SS一直顯著高于改進型圓形反應器,在HRT=6h時,由于進水氮負荷的增加,為維持溶解氧質量濃度在0.3~1.0mg·L−1增大了曝氣量,攪拌效果加強,對污泥的抬升作用更加強烈,圓形反應器出水SS高達(4.76±0.03)g·L−1,后期出水SS不高是因為反應器污泥已經所剩不多。由于活性污泥沉降性能在短期內變化不大,影響反應器SV30的主要因素是反應器內污泥質量。2個反應器接種污泥后的SV30為92%,連續運行9d后,改進型圓形反應器的SV30降到75%,圓形反應器的SV30則降為43%。綜上,改進型圓形反應器的污泥滯留能力比圓形反應器強。

圖3微氧反應器的性能對比
圓形反應器在HRT為24、12、6h下分別運行3d,出水水質如圖3(c、e)所示。在HRT為24、12、6h3個運行工況下,改進型圓形反應器的平均COD去除率分別比圓形反應器高3.83%、3.38%、17.7%,其NH4+-N平均去除率分別比圓形反應器高1.31%、2.44%、16.5%。前2個運行工況下2個反應器的污染物去除效果差別不大,這是因為2個反應器內污泥滯留量差距不明顯;在HRT為6h時圓形反應器內的活性污泥含量急劇下降,從而導致改進型圓形反應器污染物去除性能顯著優于圓形反應器(P<0.05)。
2)矩形反應器優選。2個反應器在HRT為24、12、6的條件下分別運行3d,出水SS和SV30變化如圖3(b)所示。升流式矩形反應器平均出水SS為(0.25±0.17)g·L−1。平流式矩形反應器的出水SS一直高于升流式矩形反應器,在HRT=12h時出水SS高達(0.99±0.36)g·L−1,后期出水SS少,是因為在HRT=12h時大部分污泥已隨出水流出,反應器內污泥含量很低。在接種污泥后SV30都為90%的情況下連續運行9d,升流式矩形反應器的SV30為80%,而平流式反應器SV30低于1%,上述結果說明,升流式矩形反應器的污泥滯留能力比平流式矩形反應器強。
在HRT為24、12、6h3種運行工況下,升流式矩形反應器的平均COD去除率分別比平流式矩形反應器高20.2%、21.3%、18.1%,其NH4+-N平均去除率分別比平流式矩形反應器高2.43%、16.30%、16.91%。由于平流式矩形反應器從HRT為24h時就開始大量流失活性污泥,其體系內污泥含量一直低于升流式矩形反應器,從而導致升流式矩形反應器的污染物去除效果顯著優于平流式矩形反應器(P<0.05)。
從污泥滯留能力和污染物去除能力2個方面比較,4個反應器中升流式矩形反應器和改進型圓形反應器對污泥滯留和污染物的去除能力較好。這2個反應器均能連續進出水并在內置沉淀區進行泥水分離,在保證處理效果的前提下還具有滯留污泥能力強、節省基建等優點。因此,選擇升流式矩形反應器和改進型圓形反應器作為后續沼液處理的微氧反應器。
2.2 微氧反應器處理沼液
整個實驗進程中升流式矩形反應器和改進型圓形反應器DO分別為(0.68±0.31)mg·L−1和(0.73±0.43)mg·L−1,溫度控制在30℃左右。
1)進出水pH變化與污染物去除性能。第1階段,進水平均pH為8.00±0.12,升流式矩形反應器和改進型圓形反應器的出水平均pH分別為8.09±0.34和7.71±0.64;第2階段,進水平均pH為8.23±0.14,出水平均pH分別為7.01±0.42、7.25±0.50。第2階段整體pH下降幅度比第1階段大,特別是升流式矩形反應器,平均pH下降了1.0左右。2個階段都沒有發生沼液好氧處理過程中常見的酸化現象;旌弦pH由進水堿度、硝化消耗的堿度和反硝化產生的堿度所決定,結合脫氮效果可知,因為曝氣量較小,NH4+-N去除率較低,硝化程度有所減弱,消耗的堿度較少,所以導致出水酸化現象不如其他研究明顯。
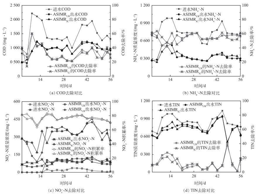
如圖4(a)所示,第1階段升流式矩形反應器和改進型圓形反應器的COD去除率分別為(43.4±9.67)%和(40.6±15.0)%(P>0.05);第2階段COD去除率分別為(29.6±5.74)%和(28.9±5.84)%(P>0.05)。第1階段COD去除率遠高于添加出水的第2階段,這可能是由于pH下降導致異養微生物活性降低以及污泥沉降性能變差。如圖4(b)所示,第1階段升流式矩形反應器和改進型圓形反應器的NH4+-N去除率分別為(50.2±7.76)%和(57.3±5.72)%;第2階段NH4+-N去除率分別為(56.3±2.85)%和(54.6±4.58)%。2反應器NH4+-N去除性能無顯著差異(P>0.05)。這個結果與使用SBR、A/O工藝處理沼液的氨氮去除效果接近。對比2個階段,升流式矩形反應器NH4+-N去除效果略高。有研究表明,當體系內NO2−-N質量濃度達25mg·L−1時,會抑制硝化細菌,從而使其活性速率降低至原活性速率的1/3,進而導致NH4+-N去除率降低;氨氧化細菌活性受pH影響較大,其最適pH為7.0~8.5,當出水pH降到7以下時,也會抑制其活性,同時微氧條件限制了DO,故NH4+-N去除率不高。

圖4升流式矩形反應器和改進型圓形反應器處理沼液過程的污染物去除情況
如圖4(c)所示,第1階段,升流式矩形反應器和改進型圓形反應器的NO2−-N積累率分別為(75.6±6.68)%和(75.2±4.77)%,出水NO2−-N質量濃度分別為(185±71.2)mg·L−1和(262±58.3)mg·L−1;第2階段NO2−-N積累率分別為(71.4±20.1)%和(71.6±20.2)%。2個反應器NO2−-N積累率無顯著性差異(P>0.05),出水NO2−-N質量濃度分別高達(336±84.5)mg·L−1和(319±84.6)mg·L−1,2個階段NO2−-N積累率均有所下降。
如圖4(d)所示,第1階段,升流式矩形反應器和改進型圓形反應器的TIN去除率分別為(19.5±7.01)%和(15.0±4.73)%;第2階段TIN去除率分別為(10.2±9.69)%和(11.3±8.84)%,2反應器TIN去除性能無顯著性差異(P>0.05)。由于未成功建立自養脫氮體系,而現存的異養脫氮體系又缺乏可生化有機碳源,進而導致反硝化缺乏底物,大部分NOx−-N未能被還原成N2而去除;反應器出水硝態氮質量濃度過高、pH降低會抑制反硝化細菌活性,導致TIN去除率下降。
微氧反應器的脫氮效果見表2。對比其他研究中的微氧反應器脫氮效果,本研究因為進水NH4+-N和TIN質量濃度較高且HRT較短,導致NH4+-N和TIN的去除率較低,但NH4+-N去除負荷高達0.479kg·d−1,TIN去除負荷高達0.174kg·d−1。與進水NH4+-N和TIN濃度相近的其他研究比較,本研究的去除負荷明顯更高,氨氮去除負荷是吳杭航的3倍,WANG的6倍;總氮去除負荷優于進水C/N>5的研究,是C/N相近的研究的2~3倍。范鑫帝、張布云、王成等研究中的去除負荷高于本研究,但其進水NH4+-N和TIN質量濃度僅為本文的31.1%~49.1%。

2)污泥性狀。反應器污泥質量濃度與沉降性能變化如圖5(a)所示。第56天升流式矩形反應器和改進型圓形反應器MLSS質量濃度分別為(7.53±0.13)g·L−1和(7.59±0.25)g·L−1,差異不顯著,但與接種污泥((7.70±0.06)g·L−1)相比略有下降,說明微氧環境下活性污泥生長速度緩慢,產生的污泥小于出水帶走的污泥。

圖5升流式矩形反應器和改進型圓形反應器處理沼液過程的污泥性狀變化
在接種相同污泥的情況下,升流式矩形反應器內污泥VSS/SS從64.4%增至78.0%,生物量占比提高,改進型圓形反應器降至62.1%,灰分占比上升,在二者MLSS質量濃度相近的情況下,升流式矩形反應器的生物量高于改進型圓形反應器。從污泥沉降比來看,升流式矩形反應器內污泥SV30由29%增至40%,而改進型圓形反應器漲至52%。污泥指數(SVI)是反映污泥沉降性能的重要指標。升流式矩形反應器內污泥SVI由37.7mL·g−1增至53.1mL·g−1,改進型圓形反應器升至68.5mL·g−1,升流式矩形反應器污泥沉降性能優于改進型圓形反應器。二者污泥沉降性能均有所下降。這主要是由于沼液C/N過低,沼液易降解有機物不足,不易形成顆粒較大的絮體,下面的污泥粒徑也說明了這個問題。
污泥粒徑變化情況如圖5(c)所示。由于粒徑分布呈正態分布,故采用中值粒徑D50為表征對污泥粒徑進行分析。與接種污泥(D50=216.35µm)相比,升流式矩形反應器、改進型圓形反應器的D50均減小,最后升流式矩形反應器的D50穩定在115µm左右,改進型圓形反應器的D50穩定在125µm左右,2個反應器的污泥粒徑分布差異不大。在初期污泥粒徑減小,一方面是由于曝氣剪切力使物理壓縮的脫水污泥分散,另一方面是由于缺少營養物質而導致的污泥解體;后期污泥粒徑緩慢增大但仍小于接種污泥的中值粒徑,是由于活性污泥逐步適應了反應體系從而緩慢增長,但受限于營養物質增長有限。
2反應器內活性污泥EPS變化情況如圖5(b)所示。接種污泥只能檢測到TB-EPS,實驗結束時在活性污泥中可檢測到S-EPS、LB-EPS、TB-EPS。其中LB-EPS雖然占比低,但對污泥的沉降性能和絮凝性能起決定作用,LB-EPS含量越高,形成的小粒徑污泥顆粒則越多,污泥的沉降性能和絮凝性能越差。與接種污泥相比,多糖(PS)和蛋白(PN)含量皆大幅上升,蛋白質作用于污泥顆粒的生長,多糖作用于污泥的穩定性,但同時會導致固液分離困難。有研究表明,SVI與EPS含量呈顯著正相關,故體系內污泥沉降性能下降。
2個反應器中污泥的功能微生物活性見表3。將第42天的污泥活性速率(r)與接種污泥相比,改進型圓形反應器的AOB活性速率快速提升,升流式矩形反應器的AOB活性速率逐步提升;前者的NOB、DB活性速率也略有升高,后者則反之,NOB、DB活性速率均有所下降。升流式矩形反應器AOB活性與改進型圓形反應器接近,但其NOB活性一直弱于改進型圓形反應器,說明升流式矩形反應器內更容易建立短程硝化過程,2個反應器的DB活性一直相差不大。2個反應器皆未成功富集厭氧氨氧化細菌,主要是因為沒有接種厭氧氨氧化污泥且運行時間不夠長,如果未接種厭氧氨氧化污泥,要建立短程硝化、厭氧氨氧化體系,一般需要運行230d以上;沼液成分復雜,氨氮和有機物濃度過高,厭氧氨氧化菌對有機物、高氨氮和其他雜質的耐受度低,再加上連續流進水不斷提供的碳源能使反硝化菌在脫氮上占優勢,進而搶奪了厭氧氨氧化菌的生存空間。

由上述結果可知,微氧反應器具有NH4+-N、TIN去除負荷較高、剩余污泥量少、曝氣能耗低等優點,推廣應用到工程上可實現節能減排。相較于SBR法,提高了容積利用率;相較于A/O法無需外接沉淀池和污泥、混合液回流;相較于以往常用的微氧反應器,規避了UMSR混合液回流比高、能耗大和IAUR設計結構復雜、工程上難以放大應用的缺點。
從滯泥效果看,在不同運行條件下二者出水SS低于0.10g·L−1(表4和表5),均具有良好的滯泥效果;從污染物去除性能來看,升流式矩形反應器和改進型圓形反應器的差異不顯著;但從污泥沉降性能、生物量增長和功能菌活性來看,升流式矩形反應器更容易建立短程硝化過程,其幾何構型更適合放大,對建設場地地形適應性強,所以升流式矩形反應器更適合在工程中的推廣應用。


3、結論
1)升流式矩形反應器和改進型圓形反應器對沼液中污染物去除性能、污泥滯留能力的差異性不顯著(P>0.05),升流式矩形反應器污泥生物量占比高、沉降性能顯著優于改進型圓形反應器(P<0.05)。
2)2個反應器的平均NH4+-N去除負荷為0.410kg·(m3·d)−1,平均TIN去除負荷為0.105kg·(m3·d)−1,出水SS均小于0.10g·L−1,均擁有優良的滯泥能力和污染物去除能力。
3)綜合考慮污泥性狀、污染物去除性能以及工程上放大應用可能性等因素,優選出升流式矩形反應器用于工程上應用。(來源:農業農村部沼氣科學研究所,農業農村部可再生能源開發利用重點實驗室)



