采用絮凝-電解氧化聯合技術處理氰化廢水,主要研究了聚硅酸鋁鐵(PSAF)添加量、絮凝時間、pH、電壓、電解時間、極板間距對總氰(CNT)、游離氰(CN−)、Cu、Zn離子去除率的影響,并對其反應機制做了分析。研究表明,當PSAF添加量為2g·L−1,絮凝時間為30min,pH為9條件下,CNT、CN−、Zn、Cu離子的去除率分別可達42.97%、100%、84.40%、34.88%。Zn(CN)42−、Cu(CN)32−、CN−的吸附量分別為567.88、89.76、439.74mg·L−1。以鈦板為陰極,石墨板為陽極,采用一陰兩陽體系對絮凝后液進行電解氧化實驗,在電壓為3V、電解時間為2h、極板間距為10mm條件下,CNT、CN−、Zn、Cu離子的去除率可達91.70%、100%、99.15%、94.49%。絮凝過程中Zn(CN)42−、Cu(CN)32−、CN−的去除是由電荷中和和化學吸附共同作用的,其中電荷中和起主要作用。Zn(CN)42−、Cu(CN)32−、CN-的化學吸附主要歸因于其與PSAF水解產生的羥基陽離子發生交換反應。XRD分析表明,加入酸性絮凝劑PSAF的瞬間,部分Zn(CN)42-反應為Zn(CN)2沉淀。電解氧化過程中Zn(CN)42−、Cu(CN)32−破絡釋放的氰根會被陽極表面產生的O2、·OH完全氧化為N2和CO2,Zn、Cu離子在陰極板電沉積而被去除。
目前,氰化法是最普遍的提金工藝,但過程中會產生大量的氰化廢水,該類廢水具有成分復雜、含鹽量高、處理難度大等特點,因其含有大量的氰化物,直接排放會造成嚴重的污染問題。在國內已經得到工業實踐的方法有酸化法、堿性氯化法和SO2-空氣法,但存在環境二次污染,處理成本高、過程難以控制、處理不達標等問題。其他的化學氧化法、離子交換法、化學沉淀法等仍處于實驗室階段。因此,尋找一種短流程、高效低耗的處理方法,實現節能減排得到黃金冶煉企業的普遍關注。
電絮凝法常用處理城市污水與工業廢水,此外,該方法還可用于重金屬離子和無機離子的去除。DAS等采用集成臭氧輔助電絮凝法去除鋼鐵工業廢水中的氰化物,在臭氧生成率1.33mg·L−1、臭氧氧化時間40min、電流密度100A·m−2的和電解時間30min的條件下,總氰質量濃度由150mg·L−1降為0.1mg·L−1,但電解過程中陽極易形成包裹極板表面的氧化膜,使極板與溶液接觸面積減少,阻止陽極溶解,造成極板鈍化,犧牲陽極在電解體系中不斷被損耗,需要定期更換極板以確保反應正常進行。電解氧化法是指利用直流電進行氧化還原反應,達到污染物分解的方法,常用于氰化廢水、電鍍廢水的處理,研究表明,電解氧化法可以有效降解氰化廢水中的金屬氰絡合物。LEI等采用三維電化學體系處理氰化物廢水,以煤基電極為主電極的三維電極體系,施加電壓4V,處理時間5h,極板間距10mm,活性炭顆粒用量2g,CNT、Cu、Zn、CN−和SCN−的去除率分別為94.14%、94.53%、98.14%、98.55%和93.13%。曾鑫輝等采用電解氧化法處理金礦廢水,在電壓6V、pH=9、電解時間3h、極板間距1.5cm、NaCl添加量10g·L−1的條件下,CNT、COD和銅氰絡合物的去除率達到97.2%、96%和97.7%。Cl−的添加雖然有利于污染物的去除,但是處理后余氯濃度高,增加了環境風險。絮凝是指添加適當的絮凝劑使水或液體中懸浮微粒集聚變大,或形成絮團,從而加快粒子的聚沉,達到固-液分離的目的。常用于處理染料/紡織廢水、農業廢水、食品加工工業廢水、紙漿和造紙廢水、制革廢水、垃圾滲濾液、廢水中的重金屬離子等。聚硅酸鋁鐵是一種新型無機高分子絮凝劑,是在聚硅酸及傳統鋁鹽、鐵鹽基礎上發展起來的聚硅酸與金屬鹽的復合產物。該絮凝劑的大分子鏈上所帶正電荷密度高,因絮凝劑溶解性、電中和及吸附架橋能力強、易制備、價格低廉等特點,成為無機高分子絮凝劑研究的熱點。許小潔等研究了聯合硅藻土與聚合氯化鋁強化混凝對原水中重金屬離子的去除,聚合氯化鋁添加量為30mg·L−1,硅藻土添加量為1.5g·L−1時,重金屬Cu、Pb和Cd的去除率分別達到57.5%、83.7%和22.2%。
針對電絮凝法存在陽極鈍化,電化學氧化法存在電解質添加量大,處理后余氯濃度高,處理成本高等問題,制備綠色無氯絮凝劑,本研究采用絮凝-電解氧化聯合工藝,研究了氰化廢水處理過程中重金屬離子和氰化物的去除規律及過程機理,以期為氰化提金廢水的治理提供參考。
1、材料與方法
1.1 實驗原料
實驗所用含氰廢水來源于陜西某黃金冶煉廠,廢水pH為9,其主要組成為1600.20mg·L−1CNT、−439.74mg·L−1CN、257.35mg·L−1Cu、0.36mg·L−1Fe、672.80mg·L−1Zn。可以看出,此廢水中CNT、CN−和Zn的含量均較高,其中CNT質量濃度大于800mg·L−1,屬于高濃度的氰化提金廢水,Zn元素含量高達672.80mg·L−1。所用其他化學試劑均為分析純。
1.2 PSAF的制備
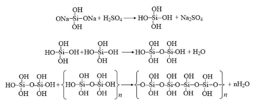
首先,向100mL的0.5mol·L−1的硅酸鈉溶液中加入20%(體積比)硫酸溶液,磁力攪拌至溶液pH=2,所得溶液在室溫下陳化30min,得到聚硅酸(PSA),反應過程如圖1所示。其次,在聚硅酸中先加入1.297g的Al2(SO4)3·18H2O粉末,然后連續攪拌10min,再加入0.400g的Fe2(SO4)3粉末。最后,將略顯綠色透明溶液在30℃陳化24h。

圖1制備聚硅酸反應式
1.3 實驗步驟
室溫下,在150mL燒杯中加入100mL廢水,使用硫酸或氫氧化鈉調節pH,加入一定量的PSAF置于攪拌器,120r·min−1快速攪拌30s,再60r·min−1慢速攪拌,靜止一定時間,實驗后固液分離,沉淀物采用去離子水洗至pH為7左右置于電熱鼓風干燥箱中于60℃烘干。隨后以鈦板為陰極,石墨為陽極,采用一陰兩陽三極板體系對過濾后的溶液進行電解氧化實驗,在不同的電壓、電解時間、極板間距下電解反應,實驗后固液分離,對溶液取樣分析,測定CNT、CN−、Cu、Zn離子的含量。
1.4 分析表征
采用硝酸銀容量法(HJ484-2009)分析測定CN−、CNT的含量,采用原子吸收光譜儀分析測定Cu、Fe、Zn等金屬離子的濃度,并根據式(1)計算各離子的去除率。采用傅立葉變換紅外光譜(FTIR)分析絮凝樣品,采用D/MAX2200型X射線衍射儀分析沉淀物,采用馬爾文Zeta電位儀測定Zeta電位。

式中:E為各離子的去除率,%;C0為各離子的初始質量濃度,mg·L−1;Ce為絮凝或電解氧化處理后溶液中各離子的質量濃度,mg·L−1。
2、結果與討論
2.1 絮凝條件對去除率的影響
1)PSAF添加量的影響。常溫條件下,取絮凝時間為30min,pH為9,PSAF添加量分別為0.5、1、1.5、2、2.5g·L−1進行絮凝實驗,結果如圖2所示。隨著PSAF添加量的增加,廢水中的CNT、CN−、Zn、Cu離子去除率先升高后趨于平緩,pH則先降低后趨于平緩,在PSAF添加量2g·L−1時,CNT、CN−、Zn、Cu離子去除率均達到最大值,分別為43.9%、100%、85.14%、36.88%,pH為7。因為隨著PSAF添加量的增加,PSAF與CN−、Zn(CN)42−、Cu(CN)32−發生的凝結點位增多,形成大量螯合絮體的網捕、掃卷作用增強,PSAF所帶的正電荷中和了污染物所帶的負電荷,使污染物失穩而達到去除效果,從而增加了CNT、CN−、Zn、Cu離子的去除率。

圖2PSAF添加量對去除率的影響及pH的變化
為了研究不同PSAF添加量反應機制,進行了Zeta電位分析。有研究表明,Zeta電位絕對值越小,即越趨近于0時,粒子之間斥力越小,越容易團聚。由圖3可見,隨著PSAF添加量的增加,Zeta電位不斷增加,未經處理廢水的Zeta電位為−21.2mV,添加量增加到2.0g·L−1時,Zeta電位為−0.72mV。這是因為水解后產生的聚羥基絡合物帶正電荷,隨著添加量的增加,正電荷數量不斷增加,絮凝過程中雙電層吸附及電中和能力增強,使得電位降低,趨近于零點時,顆粒凝聚且脫穩沉降。在中性體系中,帶負電荷的絡合物在絮凝過程中能夠吸附在氫氧化鐵絮體表面。

圖3PSAF添加量與Zeta電位的關系
2)廢水pH的影響。水中的H+和OH−均參與絮凝劑的水解反應,因此,pH可影響絮凝劑的水解速度、水解產物的存在形態和性能。在PSAF添加量為2g·L−1,廢水pH分別為7、8、9、10、11的條件下進行絮凝實驗,結果如圖4所示。可見,隨著廢水pH的增加,廢水中的CN−去除率很快就達到了最大值,隨后不再發生明顯變化,而CNT、Zn離子去除率呈現先升高后降低的變化趨勢,Cu離子去除率隨著pH的增大而升高,當pH為9時,CNT、CN−、Zn、Cu離子去除率分別為43.9%、100%、85.14%、36.88%。這是因為隨著pH的減小,H+會與PSAF水解的羥基絡合陽離子Me(OH)2+、Me(OH)2+、Me2(OH)24+競爭,從而削弱帶正電的PSAF和帶負電的CN−、Cu(CN)32−、Zn(CN)42−之間的靜電吸引力,因此,pH較低時不利于污染物的去除。但在強堿條件下,PSAF的大分子結構易被破壞,各物質的去除率會下降。

圖4廢水pH對去除率的影響
3)絮凝時間的影響。在pH為9,絮凝時間分別為5、10、20、30、40min的條件下進行絮凝實驗,結果如圖5所示。可見,隨著絮凝時間的增加,CNT、Zn、Cu離子去除率不斷增加,當絮凝時間增加到30min時,CNT、CN−、Zn、Cu離子去除率均達到最高值,分別為43.9%、100%、85.14%、46.80%。考慮到時間成本,絮凝時間選擇30min最為合適。此時,廢水的pH由原來的9降至7。

圖5絮凝時間對去除率的影響
4)FTIR和XRD的表征分析。對制備的PSAF和PSAF絮凝沉淀物進行FTIR光譜分析,結果如圖6(a)所示。制備的PSAF在3309cm−1和1634cm−1處的特征峰可歸于羥基的振動,PSAF絮凝沉淀物對應的特征峰發生了偏移,分別為3450cm−1和1637cm−1,且峰面積變小,說明羥基發生了交換。在2136cm−1處出現了C≡N鍵的特征吸收峰。說明在絮凝反應過程中,氰離子發生了化學反應,從而導致了吸收峰發生了改變。通過對絮凝沉淀物消解且測定了其中Zn和Cu的含量,Zn、Cu的相對含量分別為6.11%、0.51%。這是因為PSAF水解后,產生帶正電的金屬羥基絡合物Me(OH)2+、Me(OH)2+、Me2(OH)24+(用R-OH表示),其中羥基與金屬氰絡合物發生化學吸附反應如式(2)~式(4)。絮凝后得到的RCN、R2Zn(CN)4、R2Cu(CN)3可以采用硫酸酸化-堿液吸收法進行回收利用。制備的PSAF在1086cm−1處存在Si-O-Si、Si-O-Al、Si-O-Fe的伸縮振動,該峰強度與絮凝性能密切相關,表明Al3+、Fe3+與配合物聚硅酸鏈末端的羥基反應,金屬為聚硅酸表面提供了正電荷,使之有電中和能力。1037cm−1處PSAF絮凝沉淀物對應的峰變寬且發生了偏移,說明此時絮凝吸附作用達到飽和,絮凝劑基本失效。

圖6PSAF和PSAF絮凝后沉淀物的FTIR圖譜和XRD圖譜

根據Zeta電位、FTIR分析可知,絮凝過程存在電荷中和吸附與化學吸附,Zn(CN)42−、Cu(CN)32−、CN−的吸附量分別為567.88、89.76、439.74mg·L−1。離子的水合作用與配合離子中的電荷密度(電荷/元素數)有關,該比值越高,穩定溶液中離子所需的水分子越多,水合的種類也越多,就越不易被吸附,Zn(CN)42−電荷密度為2/9,Cu(CN)32−電荷密度為2/7,CN−電荷密度為1/2,因此,羥基對提金廢水中陰離子的化學吸附能力為Zn(CN)42−>Cu(CN)32−>CN−,而Cu(CN)32−的總吸附量僅達到89.76mg·L−1,遠遠小于Zn(CN)42−、CN−的吸附量,隨著異號離子的加入,異號離子之間有強烈的吸附作用,發生電中和吸附。化學吸附需要活化能,因此,化學吸附在絮凝過程中并非起主要作用。
分別對制備的PSAF、PSAF絮凝沉淀物進行XRD分析表征,結果如圖6(b)所示。由分析結果可以看出,制備的PSAF主要是Na2SO4和FeOOH的吸收峰,絮凝后沉淀物出現了AlOOH、Zn(CN)2的吸收峰。游離Na+和SO42−在合成PSAF絮凝劑時形成Na2SO4,干燥過程形成Na2SO4晶體,絮凝后Na2SO4峰消失,是因為絮凝時將PSAF加入廢水中,Na2SO4溶解;在PSAF中無法觀察到Fe2(SO4)3、Fe2O3、Fe3O4、Al2(SO4)3和SiO2等衍射晶體的光譜,表明Fe、Al和Si聚合成一些新的化合物,而不是保持原料的簡單混合物;同時,絮凝時羥基絡合離子Fe(OH)2+、Al(OH)2+發生了脫水反應,產生的FeO+、AlO+消耗水中的OH−,導致FeOOH、AlOOH的出現(式(5)~式(8))。由于PSAF屬于酸性絮凝劑,導致體系pH降低,Zn(CN)42−分解得到Zn(CN)2白色沉淀(式(9))。

2.2 電解條件對去除率的影響
1)電解電壓的影響。取電解時間為1h、極板間距為10mm,對絮凝后液分別在2、2.5、3、3.5、4V下進行電解氧化實驗,結果如圖7所示。隨著電壓的增加,廢水中各離子去除率逐漸升高,隨后不再發生明顯變化。電壓為3V時,CNT、CN−、Zn、Cu去除率均達到最大值,分別為83.11%、100%、96.00%、80.34%。是因為電壓較低時,陰離子在電場作用下通過定向遷移向陽極表面移動,并在表面吸附,系統主要依靠吸附和電吸附過程,去除率相對較低。而隨著電壓的升高,陽極電壓高于析氧電位(0.401V),溶液中的氰化物因析氧而被氧化(式(10)~式(13)),達到·OH的電位時(2.8V),利用·OH的強氧化性,攻擊含氰基的化合物,將C和N氧化成CO2和NO2(式(14)~式(17))。釋放出來的金屬離子大部分在陰極板電沉積而被去除(式(18)~式(20)),使得各離子去除率大大增加。

圖7電壓對去除率的影響

2)電解時間的影響。取電解電壓為3V,電解時間分別為0.5、1、1.5、2、2.5h進行電解氧化實驗,結果如圖8所示。隨著電解時間的增加,廢水中的CN−去除率很快就達到了最大值,隨后不再發生明顯變化,而CNT、Zn、Cu離子去除率呈現逐漸上升的趨勢。反應初期,廢水中離子濃度較高,離子的遷移速率相對較快,陰陽極發生劇烈化學反應,Zn(CN)42−、Cu(CN)32−在陽極發生氧化反應,金屬離子在陰極發生電沉積,2h后,溶液中參與反應的離子濃度逐漸降低,遷移速率減慢,被還原的金屬離子附著在極板表面。電解時間為2h時,CNT、CN−、Zn、Cu離子去除率均達到最大值,分別為91.98%、100%、99.63%、94.31%。電解后存在少量沉淀,經XRD檢測只存在C峰,是因為陽極的石墨板脫落少量的碳,而Zn(CN)42−、Cu(CN)32−中的氰根被氧化為CO2、N2,釋放出來的Zn、Cu離子在陰極以電沉積的形式被去除。

圖8電解時間對去除率的影響
3)極板間距的影響。取電解時間為2h,極板間距分別為10、15、20、25、30mm進行電解氧化實驗,結果如圖9所示。隨著極板間距的增大,CNT、Zn、Cu離子的去除率均呈現下降趨勢,當極板間距為10mm時,去除率分別為91.98%、99.63%、94.31%。隨著極板間距增加,電子傳遞距離增加,電能損耗增加,極板間的電場強度減小,極板間帶電離子Cu(CN)32−、Zn(CN)42−的遷移速率減小,且電解過程中產生的O2的擴散距離增長,從而降低各離子的去除效率。因此,選擇最佳極板間距為10mm。

圖9極板間距對去除率的影響
4)pH的影響。取極板間距為10mm,絮凝以后調節pH分別為6、7、8、9、10進行電解氧化實驗,結果如圖10所示。隨著pH的增加,溶液中的CNT、Zn離子的去除率略微增大后減小,Cu離子去除率沒有明顯變化,當pH為7時,去除率分別為91.70%、99.15%、94.49%。陽極氧化主要是陽極產生的氧氣起作用,而氧氣的產生是由電解水而得到,因此絮凝后廢水的pH對電氧化效果沒有明顯影響。考慮到藥劑成本問題,選擇不改變廢水pH。

圖10pH對去除率的影響
2.3 平行實驗
在PSAF添加量為2g·L−1、絮凝時間為30min、pH為9、電壓為3V、電解時間為2h、極板間距為10mm的條件下,進行氰化提金廢水的絮凝-電解氧化驗證實驗,結果如表1所示。從3組平行實驗所測得的結果來看,CNT、CN−、Zn、Cu的去除率相對穩定,平均去除率分別為91.70%、100%、99.15%、94.49%,說明采用絮凝-電解氧化處理氰化提金廢水的技術是有效可行的。

2.4 機理分析
綜上所述,絮凝-電解氧化聯合處理氰化提金廢水可分為PSAF絮凝和電解氧化兩個階段,反應機理示意圖如圖11所示。首先,加入的PSAF發生水解,生成羥基絡合陽離子及羥基絡合物,羥基絡合陽離子與廢水中的Zn(CN)42−、Cu(CN)32−、CN−通過正負電荷中和吸附去除,同時伴有羥基絡合物化學吸附過程,化學吸附時,羥基絡合物的羥基起主要作用,其與廢水中Zn(CN)42−、Cu(CN)32−、CN−發生離子交換,產生RCN、R2Zn(CN)4、R2Cu(CN)3。其次,絮凝后液采用電解氧化處理,廢水中剩余的Zn(CN)42−、Cu(CN)32−在電場作用下遷移至陽極,在陽極發生氧化反應,生成的O2、·OH將遷移至陽極的Zn(CN)42−、Cu(CN)32−氧化為N2和CO2,同時釋放出Zn2+、Cu+定向遷移至陰極還原析出金屬單質。

圖11絮凝-電解氧化機理圖
3、結論
1)采用絮凝-電解氧化聯合技術處理氰化廢水的思路是可行的。在室溫條件下,當聚合硅酸鋁鐵添加量為2g·L−1、絮凝時間30min、pH為9時,廢水中CNT、CN−、Cu、Zn離子的去除率分別為42.97%、100%、84.40%、34.88%。以電中和吸附的方式為主,伴隨著化學吸附將污染物去除,同時生成了Zn(CN)2沉淀。
2)當電解時間為2h,外加電壓為3V,極板間距為10mm時,廢水中CNT、CN−、Cu、Zn離子的總去除率分別為91.70%、100%、99.15%、94.49%。
3)無氯絮凝劑PSAF對氰化廢水的處理是有效的。絮凝-電解氧化聯合技術處理氰化廢水,減少了氯對水環境的風險,且具有成本小,處理效果好等優點,對黃金冶煉行業的環境友好發展具有重要意義。(來源:西安建筑科技大學冶金工程學院,陜西省黃金與資源重點實驗室)



