1 引言
阿特拉津(Atrazine,ATZ)是一種三嗪類除草劑,由于成本低且除草效果好,在世界范圍內得到了廣泛應用.ATZ化學性質穩定,在自然條件下降解緩慢,加上多年使用,在土壤中形成了比較嚴重的殘留,并且通過地表徑流、淋溶作用進入水體.據報道,美國堪薩斯州地區的井水中ATZ的濃度達7.4 μg · L-1.王子鍵等(2002)監測了淮河ATZ的污染狀況,發現4個斷面的殘留量分別為76.4、80.0、72.5、81.3 μg · L-1,遠遠超過我國國家環保局規定地下水(Ⅰ、Ⅱ類)中ATZ的最大允許濃度3 μg · L-1(GHZBI-1999).葉常明等(2001)監測了白洋淀地區農田表層土壤中ATZ的含量,在3、8和12月份所測得的平均值分別為43.1、64.4、和51.2 ng · L-1.ATZ是潛在的致癌物,也是一種內分泌干擾物,它的存在對水生生態系統和人類飲用水源構成了威脅.
基于自由基反應的高級氧化技術是去除有機物的有效手段.常見的高級氧化技術有O3/UV、UV/H2O2、H2O2/O3、芬頓及類芬頓反應等.它們以產生羥基自由基OH ·(E0=2.8 V)為特點,但對三嗪類物質的降解效果一般.近幾年,基于硫酸根自由基(SO· -4)的高級氧化技術由于其自身的一些優勢而受到廣泛關注.和OH ·類似,SO· -4具有較高的氧化電勢(E0 = 2.6 V),但SO· -4比OH ·具更長的壽命,有利于和目標污染物充分接觸,并且過硫酸鹽不揮發、水溶性好,有利于在土壤和地下水污染處理中的應用.SO· -4由過硫酸鹽(S2O2-8)通過加熱、紫外光輻射、過渡金屬離子或堿活化等方式產生.這幾種活化方式各有優缺點.其中,熱活化技術能耗較高,但操作簡單,在降解機理、產物及限制因素的研究中被大量采用,通過熱活化研究得到的數據對評價過硫酸鹽氧化技術的實際應用具有參考價值.
腐殖酸(HA)是構成土壤、水體中天然有機質的主要成分.有關HA對過硫酸鹽降解污染物的研究還不多.Cl-和CO2-3在水中濃度相對較高,并且研究發現它們可以和SO· -4及OH ·發生反應,與目標污染物競爭氧化劑,從而對去除效率產生影響.因此,本研究利用熱活化過硫酸鹽技術降解ATZ,著重研究各種因素,包括過硫酸鹽濃度、溫度、pH、腐殖酸(HA)及常見無機鹽離子對水中ATZ降解效率的影響.
2 材料與方法
2.1 試劑
ATZ購自Sigma-Aldrich公司,過硫酸鉀(K2S2O8)、腐殖酸(HA)購自阿拉丁公司,甲醇購自Fisher公司(色譜純).另外,硫酸、氫氧化鈉等所用試劑均為分析純以上級別.用去離子水配置濃度為 100 μmol · L-1的ATZ、50 mmol · L-1 K2S2O8和100 mg · L-1 的HA母液,保存在冰箱,反應溶液由儲備液加去離子水稀釋得到.其中,HA儲備液的總有機碳(TOC)含量用耶拿multi N/C 3100 TOC儀測定.
2.2 實驗方法
反應體積為50 mL,ATZ初始濃度為50 μmol · L-1.用H2SO4或NaOH調節溶液pH,置于恒溫水浴鍋中,加入K2S2O8,并開始計時.每隔20 min,取0.5 mL的樣品立即和0.5 mL的100 mmol · L-1 Na2S2O3混合,終止反應,用HPLC分析樣品中ATZ的殘留.
在以上反應體系中,分別考察S2O2-8濃度(0、0.1、0.5、1.0、2.0 mmol · L-1)、溫度(20、30、40、50、60 ℃)、pH(3.0、4.0、5.0、6.0、7.0、8.0、10.0)、HA濃度(2、5、10 mg · L-1)、NaCl濃度(0、5、10、80、200 mmol · L-1)和Na2CO3濃度(0、5、10、50、100 mmol · L-1)對ATZ降解的影響.
自由基鑒定試驗中,分別加入甲醇或叔丁醇作為自由基滅活劑,每種試劑取3和30 mmol · L-1兩個濃度水平,在同樣的條件下,測定ATZ濃度的變化.
2.3 ATZ的定量分析
樣品中的ATZ用日立(Hitachi)L-2000型高效液相色譜儀(HPLC)進行分析.具體條件為:C18反相色譜柱(Hitachi LaChrom,5 μm × 250 nm × 4.6 mm);流動相為甲醇(70%)和水(30%),流速為1 mL · min-1;柱溫為30 ℃;進樣量為10 μL;采用二極管陣列檢測器(DAD),定量波長為222 nm.
3 結果與討論
3.1 過硫酸鹽濃度對降解的影響
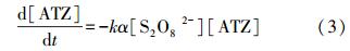
過硫酸鹽的濃度顯著影響了ATZ的降解速率,如圖 1a所示,ATZ的降解速率隨著過硫酸鹽濃度的升高而加快.過硫酸鹽濃度為0.1 mmol · L-1時,在2 h內ATZ基本沒有去除;當過硫酸鹽濃度增加到2.0 mmol · L-1,反應2 h后,ATZ的去除率超過98%.此外,ATZ的降解曲線可以用一級反應動力學方程擬合:

式中,kapp為表觀一級反應動力學常數(min-1),k為二級反應速率常數(L · mol-1 · min-1),α為一定溫度下自由基的產率.從表面上看,ATZ的降解速率僅和其自身濃度有關(呈正比),和S2O2-8似乎無關.導致這樣的現象的原因在于相對ATZ來說,氧化劑S2O2-8大大過量,它在反應過程中的消耗可以忽略不計,濃度基本維持不變.圖 1a所示是假一級動力學規律,圖 1b為kapp隨溶液中過硫酸鹽濃度的變化,可見,兩者之間呈現明顯的線性關系,因此,ATZ的降解速率也和溶液中氧化劑的濃度呈正比.由于對ATZ降解起實際作用的主要是S2O2-8活化產生的自由基,根據以上數據可以推斷,自由基的產量和S2O2-8濃度實際上是一種簡單的線性關系.綜上所述,熱活化S2O2-8降解ATZ的速率可用以下方程描述:

圖 1 過硫酸鹽濃度對過硫酸鹽降解ATZ的影響(50 ℃,pH=7.0,[ATZ]0=50 μmol · L-1)
3.2 溫度對降解的影響
考查了20~60 ℃之間ATZ的降解情況,結果如圖 2a所示.在各溫度下,反應均呈假一級動力學規律.隨著溫度的升高,降解顯著加快,20 ℃時,ATZ的降解半衰期為17385.1 min,60 ℃時,半衰期僅為22.6 min.Ghauch等(2012b)用熱活化過硫酸鹽技術降解Ibuprofen時也發現,隨著溫度從50 ℃升到60 ℃,60 min內Ibuprofen的去除率從12%升高到75%.這一方面是因為溫度升高增加了S2O2-8的活化效率,增加了溶液中活性自由基的濃度,即方程(2)中的α值;另一方面,反應速率常數k也隨溫度升高而變大,這是一般的反應動力學規律.kapp隨反應溫度T的變化如圖 2b所示,兩者之間的關系遵循阿累尼烏斯方程:
式中,Ea為反應的表觀活化能(J · mol-1),R為氣體常數(8.314 J · mol-1 · K-1),A為指前因子(min-1).通過擬合,可計算出熱活化S2O2-8降解ATZ反應的表觀活化能為141 kJ · mol-1.

圖 2 溫度對過硫酸鹽降解ATZ的影響(pH=7.0,[ATZ]0=50 μmol · L-1,[S2O2-8]0=1.0 mmol · L-1)
3.3 pH對降解的影響
本研究考察了pH在3.0~10.0范圍內過硫酸鹽對ATZ的降解情況,結果如圖 3所示.pH在3.0~7.0之間時,ATZ在2 h后可達到100%的去除;而在pH=10.0,同樣的條件下去除率只有68.6%,顯然在堿性條件下ATZ的降解效率低于酸性和中性條件.盡管效率有一定差別,但圖 3的結果表明過硫酸鹽氧化仍可在廣泛的pH條件下起作用,這對于該工藝的實際應用有重要意義.同時,這也是硫酸根自由基氧化對于基于羥基自由基的Fenton氧化的一個顯著優勢,后者通常要在較低pH(<3.0)下才能獲得較高的氧化效率.

圖 3 pH對過硫酸鹽降ATZ的影響(60 ℃,[ATZ]0=50 μmol · L-1,[S2O2-8]0=1.0 mmol · L-1)
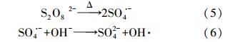
堿性條件下ATZ的去除明顯慢于酸性和中性條件,很可能由反應體系中自由基的種類和活性在不同pH條件下的差異所導致.在過硫酸鹽氧化體系中,可能同時存在SO· -4和OH ·,前者由過硫酸鹽活化直接產生(式(2)),后者可能通過SO· -4二次反應生成(式(3)).OH ·對有機物的氧化可通過電子轉移、脫氫或加成等機理進行,相對而言,SO· -4對有機物的轉化更傾向于通過電子轉移途徑,因此,SO· -4比OH ·更具選擇性.

為了確定熱活化過硫酸鹽體系中自由基的類型,探討不同pH條件下ATZ降解的機理,本研究分別選擇含有R-羥基的乙醇(EtOH)和不含有R-羥基的叔丁醇(TBA)作為自由基清除劑來驗證SO· -4和OH ·在溶液中的存在.其中,EtOH為可以同時清除SO· -4和OH ·,而TBA選擇性清除OH ·.利用兩種自由基清除劑對SO· -4和OH ·選擇性不同,可檢測不同pH條件下溶 液中參與反應的自由基種類.如圖 4所示,加入3 mmol · L-1 EtOH,在pH為3.0、7.0和10.0時,對ATZ的降解均有一定的抑制作用,這說明在各pH條件下,ATZ的降解都是由于活性自由基在起作用.當EtOH濃度增加到30 mmol · L-1時,pH為7.0和10.0時,ATZ的降解幾乎完全被抑制,但在pH為3.0時,沒有完全抑制ATZ的去除,很可能S2O2-8本身也參與了ATZ的氧化.而加入選擇性清除OH ·的TBA,濃度為3 mmol · L-1,在pH為3.0和7.0條件下,對ATZ的降解基本沒有抑制作用,當TBA濃度增至30 mmol · L-1時,降解略微受到影響.以上現象說明在酸性和中性條件下,溶液中OH ·濃度并不高,對ATZ降解起主導作用的應是SO· -4.但pH為10.0時,TBA對ATZ降解的抑制明顯強于在pH為3.0和7.0條件下,這一現象說明堿性條件下溶液中存在OH ·,它對ATZ的降解很可能作了主要的貢獻.

圖 4 在pH為3.0、7.0、10.0時EtOH和TBA作為自由基抑制劑對ATZ降解的影響(60 ℃,[ATZ]0=50 μmol · L-1,[S2O2-8]0=1.0 mmol · L-1)
綜上所述,在酸性和中性條件下,溶液中以SO· -4為主,加入選擇性抑制OH ·的TBA對反應的影響不大,只有EtOH存在時,才產生明顯的自由基滅活作用,對ATZ的去除產生影響.而在堿性條件下,OH ·是參與氧化的主要的活性中間體,無論何種自由基清除劑,均可對其產生有效滅活.溶液中的OH ·可能是OH-在SO· -4氧化作用下生成.相比OH ·,SO· -4具有更長的半衰期,并且過硫酸鹽在水相中存在雜質,比如碳酸根離子的情況下,更加穩定,因此,SO· -4和目標污染物有更多的接觸機會.表現在對ATZ的去除上,酸性和中性條件下,效率比堿性溶液中更高.
3.4 HA對降解的影響
不同濃度HA對熱活化過硫酸鹽降解ATZ的影響如圖 5所示.在pH為7時,加入HA抑制了ATZ的降解,且隨著HA濃度的升高,抑制程度隨之增加.未添加HA時,ATZ的降解半衰期為18.6 min,而當加入10 mg · L-1 HA后,ATZ半衰期增大到41.1 min.HA分子中含有羥基、胺基等活性基團,它們和ATZ競爭溶液中的自由基,實際上起了一種自由基清除劑的作用.所以,HA對ATZ的去除有負面作用,而且這種影響隨HA含量的增加而增加.HA對污染物去除的負面影響在實際污染處理工藝設計中必須充分考慮.

圖 5 HA對ATZ降解的影響(60 ℃,pH為7.0,[ATZ]0=50 μmol · L-1,[S2O2-8]0=1.0 mmol · L-1)
3.5 無機鹽離子對降解的影響
環境介質中除了廣泛存在HA外,還有各種無機陰陽離子,它們對過硫酸鹽氧化去除ATZ的影響也是必須研究的重要因素.本研究主要考察了CO2-3和Cl-兩種常見的陰離子對ATZ去除的影響.由圖 6a可知,當Cl-濃度為10 mmol · L-1甚至更低時,對ATZ的去除起到了明顯的促進作用;而當Cl-的濃度升高,則會抑制反應的進行.SO· -4氧化還原電位高達2.6 V,可跟Cl-發生反應,將其氧化生成Cl·(式(7)),Cl·也具有較強的氧化能力,可以降解ATZ,從而提高了ATZ的去除速率.而隨著Cl-濃度的增加,Cl·會繼續與Cl-反應生成Cl· -2(式(8)),而Cl· -2的氧化能力相對較弱,從而導致ATZ的去除速率降低.具體參見污水寶商城資料或http://m.xhxdt.com更多相關技術文檔。


圖 6 Cl-(a)和CO2-3(b)對ATZ降解的影響(60 ℃,pH=7.0,[ATZ]0=50 μmol · L-1,[S2O2-8]0=1.0 mmol · L-1)
CO2-3的存在也顯著抑制了ATZ的降解,且抑制程度隨著CO2-3的濃度的增加而增強(圖 6b).當含有100 mmol · L-1 CO2-3 時,2 h后ATZ去除率只有40%,而沒有CO2-3但其它條件相同時,ATZ已經完全去除.這可能是因為CO2-3會與SO· -4反應生成CO2-3(式(7)),而CO2-3的氧化能力很弱,所以會使ATZ去除率顯著降低.
4 結論
本文系統研究了利用熱活化過硫酸鹽降解水溶液中的ATZ,結果發現,升高溫度或增加過硫酸鹽濃度,ATZ的降解顯著加快,熱活化過硫酸鹽降解ATZ遵循二級反應動力學規律;酸性和中性條件下ATZ的降解效率要高于堿性條件.通過自由基滅活實驗可知,酸性和中性溶液中,起主導作用的自由基是SO· -4,而堿性條件下OH ·是主要的活性成分;HA和CO2-3的存在對ATZ的降解有抑制作用;低濃度的Cl-對ATZ的降解有促進作用,高濃度的Cl-則有抑制作用.這些因素,尤其是其它無機、有機物質對ATZ降解的影響在其它活化方式中同樣存在,因此,在評價利用過硫酸鹽降解ATZ的可行性,以及設計相關工藝時必須充分考慮.


