1 引言
硝基苯(NB)是醫藥、染料、農藥等行業的重要原料,對環境和生物都有較大的危害.美國環保署(EPA)將NB列為優先控制污染物,水環境質量標準也規定排放污水中NB的濃度小于1.0 mg · L-1.因此,嚴格控制水中NB具有重要的現實意義.
硝基苯類化合物苯環電子云密集,難以提供電子,直接氧化去除比較困難.相對于NB的難氧化,NB更易被還原.零價鐵(Fe0)作為一種活潑的還原劑,可以有效還原水中的硝基芳香化合物,硝基能被Fe0還原轉化為氨基.
基于硫酸根自由基(SO- ·4)的過二硫酸鹽(Persulfate,PS)活化技術是一類新型的高級氧化技術(AOPs).在常溫常壓下,過渡金屬離子(Fe2+等)可以催化PS產生強氧化性的SO- ·4,從而氧化去除水中難降解有機污染物.
本課題組已驗證了通過依此投加Fe0和PS的方式可將水中NB去除.基于此,通過建立Fe0-PS連續運行體系,巧妙聯合Fe0的還原與PS活化氧化作用去除NB,并討論NB的初始濃度、初始pH值、流速等對Fe0還原NB的影響,探究Fe0-PS連續運行體系降解NB的機理,為該技的術實用化提供實驗依據.
2 材料與方法
2.1 實驗材料
硝基苯(NB,C6H5NO2)、苯胺(AN,C6H5NH2)、鐵粉、過二硫酸鈉(PS,Na2S2O8)、濃鹽酸(HCl)、鋅粉(Zn)、硫酸氫鉀(KHSO4)、硫酸銅(CuSO4)、氫氧化鈉(NaOH)、亞硝酸鈉(NaNO2)、氨基磺酸銨(NH2SO3NH4)、N-(1-萘基)乙二胺鹽酸鹽(C12H14N2 · 2HCl)、濃硫酸(H2SO4)、碳酸氫鈉(NaHCO3)、碘化鉀(KI)和乙醇(CH3CH2OH)均為分析純,購于上海化學試劑公司.
模擬廢水采用無氧水與NB配制.需要說明的是,NB的自揮發對實驗結果的影響不大.無氧水的制備:量取一定量蒸餾水,加熱煮沸,通高純氮氣除氧,密封冷藏待用,2 d內使用.
零價鐵粉預處理:稱取一定量的鐵粉,用0.1 mol · L-1的稀硫酸充分洗滌以除去表面氧化層,再用去離子水沖洗至中性,用丙酮沖洗兩次后,在氮氣保護下將零價鐵粉干燥,密封保存待用.
2.2 實驗方法
還原性鐵柱體直徑為2.5 cm,柱高為24 cm;填料為Fe0與沙礫的混合柱,其中,Fe0的填充量分別為10、40、60 g.實驗中使用的沙礫的粒徑小于5 mm,通過沙礫的空白實驗可知,NB和AN的減少量小于2%,沙礫本身不具備活潑的化學性質,不能吸附NB和AN,也不與NB和AN反應.連續運行體系的動力由蠕動泵提供.用無氧水配制0.12 mmol · L-1的NB水溶液和適量的PS水溶液,分別置于NB儲備瓶及PS儲備瓶中.圖 1為連續運行體系的流程示意圖.NB的還原實驗中,儲備液只流經Fe0柱;NB的還原-氧化實驗中,儲備液流經Fe0柱后,在氧化反應器中與泵入的PS反應.

圖 1 連續運行體系示意圖
2.3 分析方法
分析儀器:Alpha-系列分光光度計,國華數顯恒溫水浴鍋,國華SHA-C恒溫振蕩器,雷磁PHS-3C型pH計,日本島津TOC-vcpn型分析儀.
測試方法:NB和AN濃度采用經典的N-(1-萘基)乙二胺偶氮分光光度法測定;以cNB/cNB,0來表征NB的剩余量(cNB為任一取樣時刻NB的濃度,cNB,0為NB的初始濃度);以cAN/cAN,L來表征AN變化量(cAN為任一取樣時刻AN的濃度,cAN,L為NB理論還原生成AN的濃度);其中,AN變化量中的cAN,L=cNB,0×nAN/nNB(nAN/nNB為AN和NB的摩爾比).Fe2+的濃度采用鄰菲啰啉分光光度法測定.測Fe2+濃度時在還原性鐵柱末端取樣.
3 結果與討論
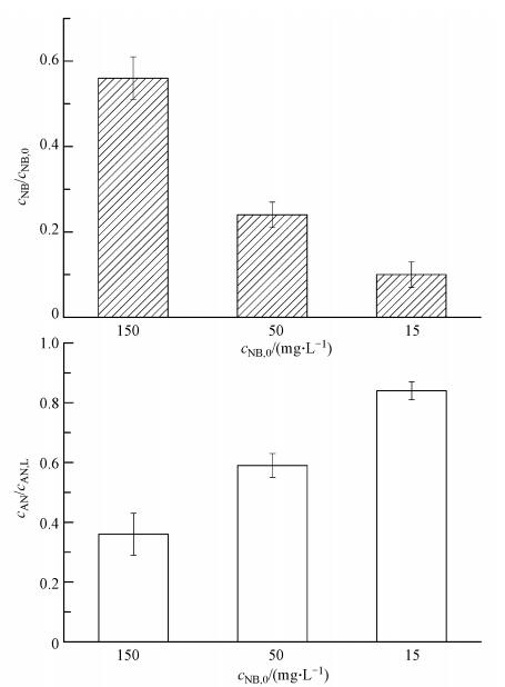
3.1 NB的還原降解 3.1.1 NB初始濃度的影響
保證在還原性鐵柱中Fe0含量一定,即Fe0填充量為40 g,混合均勻,用Fe0還原降解3種不同濃度(15、50、150 mg · L-1)的NB.結果(圖 2)發現,Fe0對不同濃度NB的還原效果均較好,NB濃度較高(50、150 mg · L-1)的情況下,雖然NB總體去除效率不如15 mg · L-1時,但NB濃度減少的絕對量隨著NB濃度的增加而增加.Fe0是一種活潑的還原劑,當NB濃度較高時,Fe0附近的NB也越多,因此,在Fe0投加量相同的條件下,NB與Fe0接觸的機會也越多,NB的降解量和AN的生成量也相應增加.其中,NB經Fe0柱的還原反應如式(1)所示:

圖 2 NB初始濃度對還原的影響
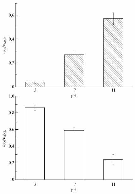
3.1.2 初始pH值的影響
由圖 3可知,隨著初始pH的降低,NB被還原生成的AN越多.研究表明,Fe0還原NB的反應主要是在Fe0表面發生電子和質子的轉移.pH較低時,隨著反應體系中H+增加,Fe0的腐蝕越快,增加了質子轉移,體系中Fe2+也不容易沉淀.相對的,pH越高,Fe0的腐蝕率降低,鐵的氧化物易沉淀,可能在Fe0的表面生成鈍化膜,阻礙Fe0進一步的腐蝕,限制質子轉移進而減慢了Fe0的還原反應.

圖 3 初始pH對還原的影響
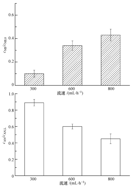
3.1.3 流速的影響
由圖 4可知,在300、600、800 mL · h-1的流速條件下,隨著流速的增加,NB的降解率降低.研究表明,Fe0還原NB中,Fe0表面的還原反應是主要的控制反應.因此,隨著NB溶液的流速越快,在還原性鐵柱中的停留時間越短,NB與Fe0表面的接觸時間越少,還原率隨之降低.

圖 4 流速對還原的影響
3.2 NB的還原氧化降解
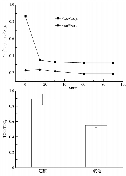
3.2.1 降解效果
圖 5中,初始pH = 3,NB的流速為300 mL · h-1,PS的流速為15 mL · h-1,PS的投加基本不影響反應溶液的總體積.Fe0-PS連續運行體系中,Fe0將NB還原產生AN和Fe2+,經測定,體系中的Fe2+為2.83 mmol · L-1,隨著PS的投加,Fe2+活化PS,發生類Fenton反應,還原產物AN被氧化,具體反應如式(2)、(3)所示.另外,經Fe0還原,體系中總有機碳(TOC)基本沒有去除,但經還原-氧化連續體系處理后,TOC去除率達54.8%,進一步佐證了上述反應的發生.可見,Fe0-PS連續運行體系,以Fe2+為媒介巧妙結合還原與氧化,能有效降解NB.需要說明的是,實驗發現,單獨PS體系中(NB不經Fe0柱還原),PS對NB的氧化幾乎可以忽略.


圖 5 Fe0-PS連續運行體系降解水中NB的情況
3.2.2 Fe0填充量的影響
根據以上研究,體系中Fe2+的濃度將直接影響PS氧化降解AN的效果.進一步改變還原性鐵柱中Fe0填充量,即10、40、60 g,觀察其對產生Fe2+、活化PS及氧化AN的影響,結果如圖 6所示.隨著Fe0填充量的增加,氧化產物Fe2+濃度也隨之增加,最終的NB剩余量基本沒有變化,而還原產物AN卻隨之明顯減少.Liang等(2004a)研究了利用Fe2+分解PS產生SO- ·4降解TCE的反應,在反應體系c(Fe2+)∶ c(PS)= 5 ∶ 4時,降解率能達89%.Fe0填充量分別為10、40、60 g時,Fe0被氧化產生的Fe2+與PS的比例c(Fe2+)∶ c(PS)= 2.12 ∶ 3.6、2.83 ∶ 3.6、4.76 ∶ 3.6,AN的最終降解率分別為43%、68%、84%.

圖 6 Fe0填充量對反應的影響
3.2.3 反應機理探討
根據以上實驗結果和分析,在Fe0-PS連續流體系中,NB的還原氧化降解機理如式(1)~(3)所示,即NB被Fe0還原后生成AN,Fe0被氧化成Fe2+,此時TOC并未降低;Fe2+與PS構成類Fenton體系,產生強氧化性物種硫酸根自由基,從而降解AN,TOC去除明顯.對反應后pH值進行檢測,發現在未調pH的前提下,對于NB還原體系,反應后pH變化不大,略有上升;而對于NB還原氧化體系,pH變化非常明顯,迅速降為3左右,進一步佐證了上述反應機理.
可見,Fe0-PS連續運行體系,以Fe2+為媒介巧妙結合還原與氧化,能有效去除NB.該體系與依次投加Fe0和PS的方式相比,最大的優勢是將還原和氧化嚴格分開,可以通過調節還原步驟的Fe0的填充量、初始pH等參數,有效調控Fe2+的生成量.而采用依次投加方式時,投加時間難以控制;Fe0與PS共存時,反應極其復雜,體系可能存在的物質有NB、AN、Fe0、Fe2+、Fe3+等,各類氧化還原反應都可能發生,比如式(4)~(6).因此,在Fe0-PS連續運行體系中,通過調控Fe2+生成量與所投加PS的比例,從而有效利用PS并充分降解NB及中間產物AN,將是該技術發展的重要研究方向.具體參見污水寶商城資料或http://m.xhxdt.com更多相關技術文檔。

4 結論
1)Fe0柱可還原降解NB,Fe0對不同濃度NB的還原效果均較好,隨著流速的減慢及初始pH的降低,剩余的NB越少.但還原體系中TOC基本沒有去除,只是生成了中間產物AN.
2)Fe0-PS連續運行體系可降解NB,產生的Fe2+活化PS,從而發生類Fenton反應,使還原產物AN氧化降解,TOC去除率較高.隨著Fe0填充量的增加,Fe2+隨之增加,還原產物AN隨之減少.


