1 引言
我國紡織印染行業日產3×106~4×106 m3印染廢水,占整個工業廢水的35%,但印染廢水回用率不足10%(張斌等,2011).大量未經處理的印染廢水直接排放到環境中,導致系列嚴重的環境污染問題.印染廢水較高的COD值和BOD值將大量消耗水體中的溶解氧,影響水環境中生物的生存;對水體動物具有直接的致死、致畸毒性作用;此外,還會導致水體濁度升高,影響水生植物的光合作用,繼而改變局部水體生態系統的食物鏈.
印染廢水的處理工藝,從傳統的理化處理工藝,逐漸發展出物理-生物處理工藝或化學-生物處理工藝,生物法處理工藝和酶法處理工藝.基于白腐菌及其產生的漆酶開發出的脫色工藝,是當今生物法或酶法處理印染廢水的主流工藝(張曉昱等,2006;詹琪等,2014).然而,漆酶的催化活性高度依賴某些氧化還原介質(如1-hydroxybenzotriazole,HBT等),因此在實際應用過程中,漆酶介導的脫色工藝,常常須向反應體系中加入各種氧化還原介質,以提高漆酶的脫色效果.上述介質的加入,在增加企業生產成本的同時,還導致對環境的二次污染.
強氧化劑過氧乙酸,在降解環境污染物方面,具有良好的使用效果,但過氧乙酸作為一種易爆的危險化學品,大規模制備、貯存及運輸條件苛刻,對一般企業而言,存在較高的難度.以乙酸乙酯和過氧化氫為底物,利用過水解酶(Perhydrolase)催化合成過氧乙酸(圖 1),具有較好的安全性和易操控性.酶法催化合成過氧乙酸耦合過氧乙酸(原位)氧化各類底物的酶法-化學聯合催化工藝,已在醫療廢水的處理、環氧化合物的合成、油脂深加工、木質素降解等領域展現出良好的應用效果和前景.本文報道本實驗室自主制備的過水解酶酶法催化合成過氧乙酸及其原位氧化活性艷藍KN-R(Remazol Brilliant Blue KN-R,RBBR)的脫色工藝.

圖 1 過水解酶催化合成過氧乙酸的方程式
2 材料與方法
2.1 化學試劑及產酶菌株
活性艷藍KN-R購自天津希恩思生化科技有限公司;2-氯-5,5-二乙基-1,3-環己二酮(Monochlorodimedone,MCD)購自Alfa Aesar-A Johnson Matthey Company;乙酸乙酯、溴化鈉和過氧化氫均購自國藥集團化學試劑有限公司;HisTrap HP(5 mL)購自GE Healthcare公司;標準分子量的蛋白質Marker購自寶生物工程(大連)有限公司.其他試劑均為市售分析純.
攜帶過水解酶編碼基因的重組Escherichia coli BL21(DE3)菌株由本實驗室構建并保存,卡那霉素抗性.
2.2 過水解酶的制備
取E. coli BL21(DE3)重組菌株甘油管保藏菌液接種于5 mL液體LB培養基中(含50 μg · mL-1卡那霉素),37 ℃過夜培養,活化菌種.將活化后的菌種轉接到200 mL LB液體培養基中(含50 μg · mL-1卡那霉素,1 L三角瓶),30 ℃培養至 OD600達到0.6~0.9.向培養基中加入IPTG至終濃度為1 mmol · L-1,誘導過水解酶基因的表達.16 h后離心收集菌體.菌體重懸于pH 7.4,20 mmol · L-1 NaH2PO4-Na2HPO4,20 mmol · L-1咪唑,500 mmol · L-1 NaCl的緩沖溶液中,超聲裂解細胞.細胞裂解液10625 × g離心10 min,收集上清,用0.22 μm超濾膜過濾后作為粗酶液進行純化.
以0.5 mL · min-1的上樣速度將粗酶液樣品加到HisTrap HP層析柱中,先用上樣緩沖溶液(pH 7.4,含20 mmol · L-1 Na2HPO4-NaH2PO4,20 mmol · L-1 咪唑,500 mmol · L-1氯化鈉)洗脫10個柱體積,再用洗脫液(pH 7.4,含20 mmol · L-1 Na2HPO4-NaH2PO4,500 mmol · L-1咪唑,500 mmol · L-1氯化鈉)以1 mL · min-1的流速線性梯度洗脫層析柱60 min.以3 mL · 試管-1分部收集洗脫液,分別通過酶活測定和SDS-PAGE電泳檢測洗脫液,收集具有過水解酶酶活的洗脫液,合并,再用pH 7.4,50 mmol · L-1 Na2HPO4-NaH2PO4的緩沖溶液平衡.
2.3 蛋白質濃度的測定及酶活性的測定
過水解酶的純度及相對分子量采用SDS-PAGE檢測,分離膠濃度為12%.純化后的蛋白質濃度的測定采用Bradford法進行測定,以牛血清白蛋白為標準蛋白.
過水解酶酶活的測定參照Yin和Kazlauskas(2012)的方法進行,具體反應體系如下:pH7.4,20 mmol · L-1 NaH2PO4-Na2HPO4緩沖溶液中,依次加入終濃度為817.16 mmol · L-1的乙酸乙酯,149 mmol · L-1的溴化鈉,適量的酶液,0.047 mmol · L-1 MCD和0.01 mol · L-1過氧化氫,40 ℃下反應5 min.在上述條件下,每min減少1 μmol MCD所需要的酶量,定義為1個酶活單位(U)(在此條件下,ε290= 2.03×104 L · mol-1 · cm-1).
2.4 活性艷藍KN-R最大吸收光譜的測定
用 UV-2600 型紫外可見分光光度計對70 mg · L-1的RBBR在可見光波段(400~800 nm)范圍內進行光譜掃描,檢測RBBR的最大吸收波長λmax.在最大吸收波長λmax下測定并繪制RBBR濃度對吸光度Abs的標準曲線(RBBR濃度范圍:10~180 mg · L-1).
2.5 活性艷藍KN-R的脫色試驗和脫色率的計算
脫色基準反應體系總體積為5 mL,反應時間為6 h,反應體系的緩沖溶液為20 mmol · L-1的磷酸氫二鈉-檸檬酸,反應溫度為室溫(26~28 ℃).基準反應體系為:20 mmol · L-1的磷酸氫二鈉-檸檬酸緩沖溶液,80 mg · L-1的RBBR,3.0 U · 反應-1的過水解酶添加量、0.8 mol · L-1的乙酸乙酯、0.01 mol · L-1的過氧化氫.
在單因子實驗中,分別改變體系中的某一因子,而其他因子不變,以此考察pH、過水解酶添加量、染料濃度、乙酸乙酯與過氧化氫的摩爾比率等對脫色效果的影響.
RBBR脫色率的計算公式:脫色率(%)=(C0-Ct)/C0×100%,C0、Ct分別表示初始時刻和反應終止后,反應體系中的RBBR濃度.采用高溫滅活后的過水解酶作為對照組.實驗組脫色率數據均為減去對照組脫色率后的數值,對照組和實驗組實驗均重復3次,并計算均方差.
2.6 正交優化試驗
根據上述單因子試驗獲得的初步結果,進行四因子三水平的正交實驗,優化過水解酶對RBBR的脫色工藝.
2.7 活性艷藍脫色動力學及放大實驗
在正交實驗獲得的最優脫色條件下,分別測定不同處理時間對染料脫色效果的影響,測定過水解酶催化RBBR脫色的動力學曲線.
在最優脫色條件下,將脫色體系放大到250 mL(50倍放大),檢測過水解酶催化的脫色效果.
3 結果與討論
3.1 過水解酶的純化及比活力測定
經過HisTrap HP層析柱純化后的過水解酶SDS-PAGE電泳結果如圖 2所示.電泳結果顯示為單一條帶,分子量大小為28 kDa,與預期大小一致.酶活測定表明,該過水解酶比活力為7.53 U · mg-1,高于已報道的其他過水解酶的比活力.

圖 2 過水解酶的SDS-PAGE電泳分析
3.2 染料RBBR的最大吸收波長測定
RBBR的最大吸收波長測定結果如圖 3所示.在595 nm處,染料RBBR有最大吸收峰,與Enayatzamir 等(2009)報道的最大吸收波長一致.在后續實驗過程中,均以595 nm作為檢測波長.RBBR的濃度在10~180 mg · L-1范圍內,吸光度Abs與RBBR濃度呈良好的線性關系.

圖 3 染料RBBR的吸收波長掃描圖
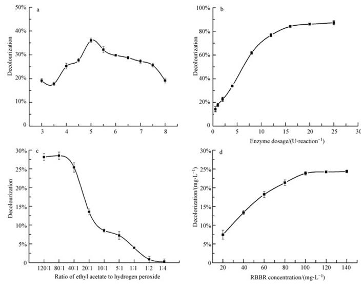
3.3 不同因子對過水解酶脫色效果的影響
本實驗使用的比色皿體積為5 mL,為方便后續檢測,確定了5 mL反應體積的基準反應體系.為使實驗結果在后續實際應用過程中具有指導價值,本實驗的反應溫度選擇室溫(福州地區常平均溫度在25℃左右).參照過水解酶酶活測定體系中的底物濃度設定基準反應體系中的乙酸乙酯和過氧化氫的初始濃度.在活性艷蘭KN-R標準曲線范圍內(中間濃度區段),作為基準反應體系中活性艷蘭KN-R的初始濃度.為方便實驗操作和比較實驗結果,以在一個工作日(8 h)的反應時間內,脫色率在80%~90%之間,確定基準反應體系中的初始加酶量(在前期調研其他酶制劑介導的染料脫色效果時,我們注意到大多數文獻報道的脫色率在80%~90%之間).
在5 mL基準反應體系中,緩沖溶液的pH、添加的酶劑量、乙酸乙酯與過氧化氫的摩爾比、RBBR濃度等因子對過水解酶脫色效果的影響如圖 4所示.

圖 4 各種單一因子對RBBR脫色效果的影響(a. pH對脫色效果的影響;b. 過水解酶劑量對脫色效果的影響;c. 乙酸乙酯與過氧化氫摩爾比率對脫色效果的影響;d. RBBR濃度對脫色效果的影響)
在pH 3~5的范圍內,隨著pH的升高,脫色效果逐漸增強;在pH=5時脫色率最高.隨著pH的進一步提高,脫色效果逐漸降低(圖 4a).pH對過水解酶脫色效果的影響,是多重效應共同作用的結果:①pH對過水解酶活性的影響.過水解酶的最適pH為6.0(實驗室尚未發表數據),在pH 3~6的范圍內,過水解酶的活性隨著pH的升高而升高;②pH對過氧化氫穩定性的影響.過氧化氫在pH 3.5~4.5時最穩定.作為過水解酶底物之一的過氧化氫的穩定性,將直接影響到產物過氧乙酸的生成,從而間接影響到過水解酶的脫色效果;③pH對RBBR穩定性的影響.在酸性或堿性pH條件下,中性的RBBR轉化為帶上正電荷或負電荷的離子型化合物,有助于RBBR的分解(Mahmoud et al., 2007).
在5 mL基準反應體系中,在0.5~25 U · 反應-1的濃度范圍內,隨著反應體系中酶劑量的增大,脫色效果逐漸增強.在0.5~8 U · 反應-1的濃度范圍內,酶劑量與脫色率呈線性關系;當酶劑量高于16 U · 反應-1的范圍后,脫色率增高值極為有限,呈零級反應(圖 4b).
在5 mL基準反應體系中,乙酸乙酯對過氧化氫的摩爾比率對RBBR的分解有較大的影響.當摩爾比率低于40 ∶ 1時,RBBR的脫色率顯著降低(圖 4c).實驗結果表明:(1)過水解酶對過氧化氫的親和力大于對乙酸乙酯的親和力.過氧化氫作為一種強氧化劑,容易導致蛋白質變性失活.因此,在后續實驗中,利用蛋白質工程技術,構建能耐受高濃度過氧化氫的過水解酶,有助于更好地大規模推廣過水解酶在印染廢水處理中的應用.(2)反應過程中,維持高濃度的乙酸乙酯是必要的.因此,在后續實驗過程中,可考慮選用三酰甘油酯或二酰甘油酯替換乙酸乙酯,既可降低羧酸酯對過氧化氫的摩爾比,又有助于提高過水解酶在反應體系中的穩定性(在乙酸乙酯工藝中,產物中有乙醇生成;而三酰甘油酯或二酰甘油酯工藝中,產物為甘油).
在5 mL基準反應體系中,RBBR濃度在20~100 mg · L-1的濃度范圍內,被分解掉的RBBR濃度隨初始濃度的增加而增加.RBBR濃度超過100 mg · L-1后,被分解掉的RBBR濃度增速減緩,呈零級反應態勢(圖 4d).
3.4 正交實驗優化過水解酶脫色工藝
對反應體系的pH、加酶量、乙酸乙酯與過氧化氫的摩爾比率和RBBR濃度4個因子進行正交試驗優化.實驗結果(表 1)表明:①對RBBR脫色率影響大小依次為B>D>C>A,即過水解酶劑量>RBBR濃度>乙酸乙酯與過氧化氫的摩爾比率>反應體系的pH;②最優組合為A2B3C2D1,即反應體系的pH 5.0,加酶量為20 U · 反應-1,乙酸乙酯對過氧化氫的摩爾比率為40 ∶ 1和RBBR濃度為80 mg · L-1.在最優條件下,在5 mL反應體系中進行驗證性試驗,RBBR脫色率為81.11%.

表 1 RBBR脫色的正交試驗設計、試驗結果及分析
3.5 過水解酶脫色動力學測定
在5 mL反應體系中,過水解酶脫色動力學結果如圖 5所示.在反應的初始階段,具有極快的脫色速度(在反應的初始30 min,體系中超過67%的RBBR被降解);隨著反應時間的延長,乙酸乙酯、過氧化氫及RBBR濃度逐漸降低,導致脫色率增速逐漸減緩.24 h后脫色率達到91.96%.RBBR的氧化脫色動力學符合兩相指數衰減(Two phase exponential decay)模型(Graphpad Prism統計軟件Nonlinear Regression擬合結果),脫色動力學方程為:Y=12.32+65.82e(-9.61X)+21.86e(-0.2127X)(Y為脫色率,X為處理時間,R2=0.9986).

圖 5 過水解酶原位合成過氧乙酸氧化RBBR脫色動力學分析
3.6 250 mL反應體系試驗結果
在最優工藝條件下,將反應體系放大50倍(250 mL)后,進行脫色試驗.以滅活的過水解酶作為對照組試驗;反應24 h,測定RBBR的脫色率.放大體系試驗的RBBR脫色效果如圖 6所示.和對照組相比,實驗組具有非常明顯的脫色效果:溶液濁度(顏色)變淺,瓶底出現明顯的絮狀沉淀;24 h后RBBR的脫色率為84.55%,較5 mL反應體系,略有下降,具體原因及機制還有待深入調查.

圖 6 過水解酶在最適條件下在250 mL反應系統中催化PBBR氧化脫色的效果
由于酶制劑的過水解活性(Perhydrolysis activity)屬于酶的催化混亂性活性(Promiscuous activity),因此,常常需要加入過量的底物,以推動反應向正反應反向進行.按照優化后的脫色體系,處理每噸污水需要加入274 mL的過氧化氫,而乙酸乙酯的量則達到反應體系體積的4%(V/V).因此單就一個批次的污水處理而言,成本高于現有污水處理方法的運行成本.但在實際操作過程中,處理后的污水,形成大量的絮狀沉淀物(圖 6).經過簡單沉淀濾過后,只需向上清液中補加極少量的過氧化氫和乙酸乙酯,即可進行下一批次的污水處理,脫色效果基本維持不變.在實驗室階段,通過酶制劑的固定化技術,已實現6個批次的重復實驗(實驗室未發表數據,后續論文將發表).事實上,利用三乙酸甘油酯(Glyceryl triacetate,GTA)替換乙酸乙酯,底物濃度可以進一步降低到現有濃度的1/3.通過進一步優化工藝和酶制劑的固定化技術等措施,可實現底物的多批次循環利用,從而實現本技術路線的低成本運行. 具體參見污水寶商城資料或http://m.xhxdt.com更多相關技術文檔。
4 結論
1)利用過水解酶原位制備過氧乙酸進行印染廢水(RBBR模型)處理,是完全可行的.通過酶促反應(過氧乙酸的合成)和化學氧化反應(過氧乙酸氧化RBBR脫色)耦合的兩階段反應工藝,獲得了較好的脫色效果.在5 mL反應體系中,6 h脫色率為81.11%;24 h脫色率為91.96%(由于對照組具有3%~5%的數值,因此實際脫色率已超過95%).
2)該工藝中,不同單一因子對RBBR脫色率的影響依次為:過水解酶劑量>RBBR濃度>乙酸乙酯與過氧化氫的摩爾比率>反應體系的pH;最優組合為:反應體系的pH=5.0,加酶量為20 U · 反應-1,乙酸乙酯對過氧化氫的摩爾比率為40 ∶ 1和RBBR濃度為80 mg · L-1.
3)在最優條件下,250 mL反應體系中,24 h后RBBR脫色率為84.55%;較5 mL反應體系中的脫色率略有下降,具體原因及機制還有待深入調查.
致謝(Acknowledgement): 感謝國家留學基金管理委員會的資助;感謝瑞典皇家理工學院生物技術學院工業生物技術系的Hult Karl教授、Martinelle Mats博士及Hendil-Forssell Peter博士在過水解酶研究方面的指導.


