1 引言
N2O致溫效應為CO2的300多倍、CH4的4~21倍,估計地球上N2O排放對全球溫室效應的貢獻約占5%~6%(IPCC,1996).污水處理廠氮去除過程會產生大量N2O(Tallec et al., 2006; Kampschreur et al., 2008),占水處理全過程釋放的溫室氣體(包括CO2,CH4和N2O)總量的26%(Kampschreur et al., 2009).我國城鎮污水處理廠2011年N2O釋放總量估計約為1.26×109 g(以N計)(王亞宜等,2014).因此,污水生物脫氮過程中N2O產生及控制是目前研究的熱點之一.
污水生物脫氮過程中硝化及反硝化過程均能產生N2O(Kampschreur et al., 2009;Wunderlin et al., 2011;劉秀紅等,2006),自養硝化過程N2O通過AOB硝化菌反硝化或羥胺氧化(化學和生物)產生,其N2O的產生涉及多種酶參與(見圖 1),羥氨氧化還原酶(Hydroxylamine oxidoreductase,HAO)是在硝化階段將羥胺轉化成亞硝酸鹽的氧化還原酶,位于細胞膜外周質中.有研究表明,羥胺在好氧和厭氧條件下均能被HAO氧化(Yamanaka and Sakano et al.,1980),而N2O是羥胺氧化的副產物(Otte et al., 1999).可見HAO對N2O產生起著關鍵調控作用.

圖1 污水處理硝化過程N2O產生的可能途徑及相關酶 (其中:AOB(氨氧化菌,Ammonia-oxidizing bacteria); AMO(氨單加氧酶,Ammonia mono-oxygenase):HAO(羥胺氧化還原酶,Hydroxylamine oxidoreductase);NOR(亞硝酸氧化還原酶,Nitrite oxidoreductase))
污水生物處理過程中,酶是控制N2O釋放的關鍵所在(Richardson et al., 2009).目前,一些純種自養和異養硝化菌的HAO已經分離提純(Wehrfritz et al., 1993,1996; Kurokawa et al., 1985;Hoppert et al., 1995; Zahn et al., 1994;Ono et al., 1996),這些HAO分子量和結構有所不同(Arciero and Hooper, 1993;Moir et al., 1996;Jetten et al., 1997a;Shimamura et al., 2008).但目前尚無污水生物處理活性污泥HAO的研究報道,一個原因可能是脫氮污泥中硝化菌種類復雜多樣,不利于分離提純HAO而制約了這方面的研究.
不同研究報道的HAO提取和活性測定方法有所不同,破碎細菌細胞的方法有超聲法(Jetten et al., 1997b)、壓力破碎法(Otte et al., 1999),有研究使用高滲裂解液(Zhang et al., 2014)輔助細胞破碎;酶活性測定時以鐵氰化鉀作為電子受體,但是所使用的電子受供比也有差異,Otte等(Otte et al., 1999)在測定發酵罐中糞產桿菌的HAO時選用電子受供配比1 : 2,而Tateo Yamanaka等(Yamanaka and Sakanoet al.,1980)從Nitrosomonas europaea菌提取純化HAO時表明,電子受體超過4倍的供體羥胺后,羥胺能迅速被氧化成NO2-.Mike等(Jetten et al., 1997b)在研究羥胺代謝時采用電子受供配比為5 : 2的反應試液.由此可見,目前尚無確定可行的活性污泥HAO酶提取和活性測定方法.
基于此,本文在前期研究(南亞萍等,2012;劉婧晶等,2014)的基礎上,從破碎方法、裂解液的使用、酶活測定液電子受供比、反應終止劑等方面對污水生物處理活性污泥中HAO酶的粗提取及酶活測定方法進行了探索研究,旨在為進一步探索污水生物處理中N2O產生和控制的酶水平研究奠定基礎.
2 材料與方法
2.1 材料來源
活性污泥取自實驗室處理模擬城市生活污水的SBR反應器.該反應器的有效容積為6 L,每天運行3個周期,每周期8 h,包括進水10 min(充水比為1/2),厭氧攪拌120 min,好氧240 min,沉淀40 min,出水10 min,閑置60 min.人工廢水由葡萄糖、乙酸鈉、氯化銨、磷酸氫二鉀、氯化鈣、硫酸鎂和氯化鐵配制而成,加入碳酸氫鈉調節pH值為6.8~7.8(FE-20型酸度計,梅特勒-托利多(上海)有限公司).COD約為400 mg · L-1,氨氮約為60 mg · L-1,總磷約為5 mg · L-1.
反應器溫度維持在25 ℃;污泥濃度維持在MLSS 3255 mg · L-1(MLVSS/MLSS值在0.80左右).控制曝氣強度在0.6 L · min-1,好氧段DO濃度維持在0.3~0.6 mg · L-1.
當氨氮去除率達到90%以上并穩定運行時取樣.取樣時間點選擇在每周期曝氣開始后0.5 h.
2.2 HAO粗酶的提取
取25 mL泥水混合液,在4000 r · min-1離心3 min(J-26XP貝克曼高速冷凍離心機,美國貝克曼庫爾特有限公司生產),傾去上清液,沉淀用緩沖液(50 mmol · L-1 Tris-HCl,pH 7.8,5 mmol · L-1 MgCl2)定容到25 mL,再次離心3 min,傾去上清液,此步驟重復一次.沉淀備用定容至25 mL后,破碎細胞.4 ℃條件下,40000×g 冷凍離心30 min,上清液于4 ℃條件下貯存備用.
2.3 細胞破碎方法
超聲法:用BILON92-II超聲波細胞粉碎機(上海比朗儀器有限公司)于0 ℃的冰-水混合水浴中破碎細胞,調節輸出功率200 W,工作3 s,間歇3 s,破碎次數分別設定為30次、60次、99次.
壓力細胞破碎法:在4 ℃條件下用JN-02低溫超高壓連續細胞破碎儀(廣州聚能生物科技有限公司)破碎,設定壓力50、110、160 MPa,分別破碎1、2、3次.
超聲與裂解液結合法:洗滌后的沉淀加細胞裂解液(50 mmol · L-1Tris-HCl(pH 7.5),10%蔗糖,300 mmol · L-1 NaCl,90 mmol · L-1 EDTA)2 mL、5 mL、10 mL,10 min后,緩沖液定容至25 mL后進行破碎,方法同超聲法.
壓力與裂解液結合法:洗滌后的沉淀加細胞裂解液2 mL、5 mL、10 mL,10 min后,緩沖液定容至25 mL后進行破碎,方法同壓力細胞破碎法.
2.4 破碎效果評價
用ND-2000微量分光光度計(美國Nanodrop科技有限責任公司)測定破碎后混合液中的DNA含量,將DNA含量高低作為衡量細胞破碎的程度的指標.
2.5 HAO酶活性測定
(1)酶活力測定原理:根據HAO酶的氧化還原特性,本實驗以鐵氰化鉀為電子受體,以羥胺為電子供體.羥氨氧化還原酶的活性在400 nm處以鐵氰化鉀的還原量來計算酶活性.
(2)酶活性單位定義:25 ℃,pH 8.0條件下每分鐘還原1 μmol K3Fe(CN)6的酶量為一個酶單位.按下式計算HAO酶的活性(U · mL-1),摩爾吸光系數ε為1 L · mol-1 · cm-1.
酶活性:A =400/[ε·b×t]×VL/V×B 式中,t為時間(min),VL為測定液體積(mL),V為酶液體積(mL),B為稀釋倍數,b為比色血寬度(1 cm).
(3)酶活力測定步驟:取4 mL反應混合液放入試管中,加入適量酶提取液,立即混勻并計時,25 ℃恒溫水浴儀(北京市永光明醫療儀器有限公司)中準確保溫一定時間;反應完成后立即加入2 mL終止劑終止酶反應.室溫放置5 min后,UV-2600A分光光度計(龍尼柯(上海)儀器有限公司)于400 nm處測定吸光度;空白對照管先加入2 mL反應終止劑,再加酶液.
2.6 測定方法
粗酶液中總蛋白質含量測定:Bradford法(Bradford,1976); DNA含量:微量分光光度法;酶活性測定:分光光度法.
2.7 酶活力測定方法的優化
(1)酶反應液電子受體與供體比的選定:選擇電子受供比1 : 4、1 : 2、1 : 1、2 : 1、4 : 1,分別取5組平行樣.
(2)反應終止劑的選擇:選用20%三氯乙酸及2 mol · L-1 HCl,分別取5組平行樣.
2.8 實驗數據處理
多組平行試驗結果均以平均值±標準差(±SD)來表示,組間比較采用SPSS13.0 軟件進行單因素或多因素方差分析.
3 結果與分析
3.1 不同方法的破壁效果
HAO為細胞膜外周質酶,能否完全將菌體細胞壁破碎是該酶提取的首要因素.本研究探討了五種不同的破壁方法,用微量分光光度計測定DNA含量確定破壁效果,同時測定酶活力.
首先對超聲法同一功率下超聲破碎次數對破碎效果影響進行實驗,結果見表 1所示.

表1 超聲處理次數對污泥破壁的效果
從表 1可知,超聲破碎次數增加,DNA含量增加,提取的粗蛋白含量增加,HAO酶活增大,說明細胞破碎程度提高.單因素方差分析表明,破碎30次DNA及蛋白質量均明顯小于60次和99次(p<0.05),但是酶活與60次無明顯差異,與99次相比明顯偏小(p<0.05),為了縮短實驗時間及更好的保存酶活性,選擇破碎30次進行后續實驗.
表 2 是化學滲透對細菌細胞破碎效果的影響.從表 2可知,添加細胞裂解液后,酶活性及DNA比未加的條件下(表 1所示)增加近5倍及多至十幾倍.從DNA結果來看,加5 mL和10 mL裂解液沒有差異(p>0.05);酶活和蛋白質5 mL條件均顯著小于10 mL及25 mL條件(p<0.05).但研究過程發現添加10 mL及更多裂解液時,用Br and ford法測定蛋白質容易產生沉淀,在此種情況下,用分光光度計測定蛋白質比較耗時,讀數不穩定.

表2 化學滲透處理對污泥破壁的效果
基于上述超聲次數和裂解液用量對細胞破碎效果的影響,研究進一步探討超聲、壓力及裂解液相互結合對破碎效果的影響,以便找出耗時短、破碎效果好的破碎方法.圖 2是不同破碎條件下,破碎次數和裂解液對細胞破碎效果的影響.

圖2 不同破壁條件下,處理次數和裂解液對污泥破碎效果的影響(污泥以mL計)
從圖 2可以看出,用細胞破碎儀破碎細胞效果明顯比超聲破碎細胞效果要好;無論是超聲還是細胞破碎儀,加裂解液細胞破碎效果較不加的要好.
對3種壓力下的DNA結果經多因素方差分析(0 mL未參與分析),F(8,26)=7.281(p<0.01),說明壓力、破碎次數及裂解液用量均對破碎效果有極其顯著的影響.隨著細胞破碎儀破碎壓力、次數增大,破碎效果增強;2 mL與5 mL裂解液之間破碎效果有顯著差異(p<0.05),而2 mL與10 mL、5 mL與10 mL裂解液之間之間破碎效果沒有顯著差異(p>0.05).從圖中能看出,160 MPa條件下,加5 mL裂解液破碎3次效果是最好的.
3.2 酶活測定方法優化結果
在HAO酶活測定過程中,電子受供比和終止劑的選擇對酶活力測定影響較大,因此,本研究進行了電子受供比和終止劑對酶活測定影響的研究.結果如下.
3.2.1 酶反應液電子受體與供體比的選定
不同微生物菌種、不同的生長環境,HAO的活性高低不盡相同,在以往HAO研究電子受供比1 : 2、≥4、5 : 2等的基礎上,做了表 3所示的電子受供比實驗.以確定適合污水脫氮處理工藝HAO酶活研究的配比.取5組試樣進行測定.結果見表 3.

表3 不同電子受體與供體比下測定的HAO酶活性
在一定條件下,底物濃度飽和時,酶反應速度與酶濃度呈正比,當底物(不論K3[Fe(CN)6]還是NH2OH)濃度受限時,均會影響酶活性的測定結果.
表 3的結果表明,受供比1 : 4、1 : 2的酶反應液中由于受體K3[Fe(CN)6]不足,在短時間內吸光值減小的幅度很大.對測試樣品數目較多的過程不適用.而受供比2 : 1、4 : 1條件下,同樣反應時間內,受體K3[Fe(CN)6]剩余量較多.這4種受供比反應后不太適宜用分光光度計測定,因此宜選用電子受供比1 : 1的酶反應液做酶活性測試,本研究用這一受供比也獲得了較其他條件下的最大酶活性(0.368±0.012 U · mL-1).
當然,這一配比適用于HAO粗酶測定,若是經過純化后的HAO,適合的受供比需要進行實驗來進一步確定.
3.2.2 反應終止劑
與加熱酶失活方法相比,用酸堿讓酶失活更易操作和節省時間,本研究中受體K3Fe(CN)6在堿性條件下不穩定,因此實驗選取20%三氯乙酸和2 mol · L-1 HCl作為HAO酶活性反應的終止劑,選用電子受供比1 : 1的酶反應液.取5組試樣進行測定.結果見表 4.

表4 反應終止劑對HAO活性測定的影響
從表 4數據可知,20%三氯乙酸與2 mol · L-1 HCl作為HAO酶反應終止的試劑,酶活測定值經單因素方差分析,無顯著性差異(p>0.05).通過測試兩者的pH,20%三氯乙酸(pH 1.8)溶液酸性極強,文獻(Yamanaka and Sakano et al.,1980; Jetten et al., 1997b; Otte et al., 1999)中采用它作為HAO酶反應終止劑.鐵氰化鉀遇強酸時產生劇毒的氰化物,從減少環境污染和操作安全的角度,宜選用酸性較弱的2 mol · L-1 HCl溶液作為反應終止劑.
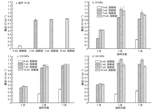
3.3 不同破碎條件下,裂解液和破碎次數對測定HAO酶活性的影響
從圖 3可以看出,在不同壓力條件下,用細胞破碎儀破碎細胞2次、3次的HAO酶活明顯比超聲條件下酶活要高;加裂解液破碎后HAO酶活要比不加裂解液的HAO酶活高.

圖3 不同破碎條件下,破碎次數和裂解液對獲得的HAO酶測定活性的影響
對3種壓力下的酶活結果經多因素方差分析(0 mL未參與分析),F(8,26)=2.718(p<0.01),說明壓力、破碎次數及裂解液用量均對酶活有極其顯著的影響.只看壓力變化時,兩兩壓力之間酶活無差異(p>0.05);破碎2次與1次之間酶活有極其顯著差異(p<0.01),而破碎2次與3次之間酶活無差異(p>0.05).
在不同的壓力條件下,均是加5 mL裂解液的HAO酶活性要高(與10 mL比無差異(p>0.05)),加10 mL裂解液后酶活反而降低,原因可能是細胞裂解液中含有EDTA,而HAO的活性位點由c型亞鐵血紅素和血紅素P460構成(Hooper et al., 1997),較多的裂解液加入影響了HAO的活性.
從圖中看出,160 MPa條件下,加5 mL裂解液破碎細胞2次有最高的HAO酶活力.
3.4 破碎方法、裂解液和破碎次數對HAO酶比活力的影響
酶的比活力(specific activity)也就是酶含量的大小,即每毫克蛋白所具有的酶活力.酶的比活力在酶學研究中用來衡量酶的純度,對于同一種酶來說,比活力越大,酶的純度越高
從圖 4可以看出,超聲條件下,酶的比活力比細胞破碎儀破碎細胞酶比活要高;超聲條件下,隨著裂解液增多,酶比活力有所增大,但是增加幅度很小.

圖4 不同破碎條件下,破碎次數和裂解液對獲得的HAO酶的比活力的影響
對3種壓力下破碎2次、3次的酶比活力結果經多因素方差分析(0 mL未參與分析),F(4,17)=16.262(p<0.01),說明壓力、破碎次數及裂解液用量均對酶比活力有極其顯著的影響.不同壓力下酶比活力有極其顯著差異(p<0.01);破碎2次與3次之間酶比活力有極其顯著差異(p<0.01),壓力與次數相同的條件下,不同裂解液用量組間酶比活力無差異(p>0.05).
隨著細胞破碎儀破碎壓力增大,HAO酶比活力減小,說明壓力增大后,細胞破碎效果增強,有更多的蛋白從細胞中溶出,而HAO酶的量則沒有隨之增加,分析原因可能是瞬間高壓產生熱量破壞了HAO及其活性.
綜上所述,160 MPa條件下,加5 mL裂解液破碎3次效果是最好的,該條件下破碎細胞2次有最高的HAO酶活力,但是從酶比活力看,該條件下破碎2次和3次的酶比活力均比110 MPa加裂解液5 mL破碎2次要低(p<0.01),因此綜合DNA、酶活力和酶比活力考慮,110 MPa加裂解液5 mL破碎2次更適合污水生物處理中HAO的研究,既節省時間,又能較好的保持酶活性.具體參見污水寶商城資料或http://m.xhxdt.com更多相關技術文檔。
4 結論
1)壓力、破碎次數及裂解液用量對脫氮活性污泥粗提液中DNA、HAO酶活力及酶比活力均有極其顯著的影響(p<0.01).
2)無論是超聲還是細胞破碎儀破碎細胞,加裂解液破碎效果比不加要好(DNA含量高),有較高的酶活力(超3~7倍).隨著細胞破碎儀破碎壓力增大,破碎效果增強,160 MPa條件下,加5 mL裂解液破碎3次效果是最好的.
3)對相同提取條件下提取的粗酶液,酶活反應液電子受體供體之比為1 : 1時,分光光度法可獲得較高的酶活力.
4)酶反應終止劑宜選用2 mol · L-1 HCl溶液.
5)綜合DNA含量、酶活力及酶比活力考慮,110 MPa加裂解液5 mL破碎2次更適合污水生物處理中HAO的研究,既節省時間,又能較好的保持酶活性.


