1 引言(Introduction)
染料廢水是環境水體污染源之一, 制約著印染行業的可持續發展(Dai et al., 2012).光催化技術降解染料廢水是一種綠色、環保、新型、高效、節能的方法, 可使殘存于水體中的染料最終轉化為CO2、H2O或其它一些無毒無害小分子物質。
n型半導體SnO2(Kar et al., 2013; Jiang et al., 2012)為功能性納米材料, 其禁帶寬度為3.6 eV(Ji et al., 2017), 紫外光下有較強的效益響應, 已成為染料廢水光降解研究的熱點(Liu et al., 2016).單獨使用納米SnO2作為光催化劑時, SnO2在溶液中易流失, 難以回收再利用.因此, 可將納米SnO2負載于載體上, 使SnO2被固定在載體的孔道結構中, 從而有效減少SnO2的流失, 提高其光催化效率.如Wang等(2012)采用純SnO2粉末對羅丹明B進行光催化降解, 降解率只有60%, 而將SnO2負載于碳載體上, 降解率提高到80%.Anandan等(2015)將SnO2納米顆粒負載在Mn基上, 其對甲基橙染液的降解率達到了92%.目前, SnO2常用的載體有碳納米管(Kim et al., 2015)、金屬類(如Au、Ag、泡沫鎳等)(Qiao et al., 2016; Malik et al., 2016; Zhang et al., 2005)、活性炭(Hung-Low et al., 2016)、玻璃類(如空心玻璃、玻璃纖維)(Almeida et al., 2011; Shuo et al., 2010)、沸石(徐孝文等, 2009)等, 但未見鈦硅分子篩TS-1負載納米SnO2的報道.鈦硅分子篩TS-1是具有MFI型拓撲學結構(杜樹婷, 2016)的微孔分子篩, 其孔道結構均勻, 吸附性能好.將兩種材料進行復合, 可望得到響應區間紅移、比表面積大的工業應用型高效光催化劑。
基于此, 本文以五水四氯化錫(SnCl4·5H2O)為錫源, 以鈦硅分子篩TS-1為載體, 通過超聲溶膠凝膠法制備出SnO2/TS-1光催化劑, 重點研究SnO2/TS-1制備條件對羅丹明B溶液光催化降解性能的影響。
2 實驗(Experiment)2.1 試劑和材料
實驗所用試劑主要有五水四氯化錫(SnCl4·5H2O)、濃鹽酸(HCl)、濃氨水(NH3·H2O)、無水乙醇(CH3CH2OH), 鈦硅分子篩TS-1(湖南岳陽石化催化劑研究中心)等, 以上試劑均為分析純.
2.2 光催化劑SnO2/TS-1的制備
稱取3.0 g SnCl4·5H2O, 加入20 mL蒸餾水和0.1 mL濃HCl, 攪拌至溶液澄清, 然后加入一定量的濃氨水, 調節溶液pH至7.0~8.0, 超聲波分散1.5 h后得到白色溶膠; 在溶膠中加入3.0 g鈦硅分子篩TS-1, 攪拌2 h后靜置陳化15 h, 然后抽濾、洗滌、干燥得到前驅體, 將前驅體置于馬弗爐中, 在450 ℃下焙燒2 h, 得到TS-1負載的納米SnO2, 命名為SnO2/TS-1。
2.3 樣品表征
采用日本理學Rigaku-TTRIII X射線衍射儀(Cu Kα靶, λ=0.154056 nm)對樣品進行物相分析(XRD); 采用日本日立公司的SU3500型掃描電子顯微鏡(SEM)和美國FEI Tecnai G2F20型透射電鏡(TEM)觀察樣品的表面形貌特征; 采用美國FEI Tecnai G2F20高分辨透射電鏡(HRTEM)對樣品的晶格條紋進行觀察和分析, 計算晶格參數; 采用美國Micromeritics公司生產的ASAP2020型比表面測定儀(BET)測定SnO2/TS-1的比表面積、孔徑分布等物理特征, 測定所用氣體為氮氣, 吸附溫度為77.5 K。
2.4 催化活性測試
配制20 mg·L-1羅丹明B溶液, 用722S可見光分光光度計, 在最大吸收波長(530 nm)下測得其初始吸光度A0, 在3支100 mL光催化試管中均加入30 mL羅丹明B(20 mg·L-1), 分別加入30 mg SnO2、TS-1、SnO2/TS-1, 暗反應1 h, 將處理好的樣品經高壓汞燈(功率250 W, λmax=365 nm)光照2 h, 每隔一段時間取一次樣, 每次取樣10 mL, 高速離心分離, 取上層清液, 測定其吸光度A530, 利用公式D=(A0-A)/A0, 計算羅丹明B的降解率D。
3 結果與討論(Results and discussion)3.1 光催化劑的制備及表征
圖 1為催化劑SnO2/TS-1(SnO2負載量42%)的XRD譜圖.由圖 1可知, 2θ=9.2°、10.3°、23.2°及24.3°衍射角處出現的衍射峰為鈦硅分子篩TS-1的MFI拓撲結構特征峰(Notari, 1987); 在衍射角26.6°、33.9°、38.1°、52.9°、62.3°及65.9°處出現的衍射峰與JSPDS卡片中的SnO2(JSPDS41-1445)相對應, 為SnO2的特征峰。

圖 1光催化劑SnO2/TS-1的XRD圖譜(SnO2負載量42%)
圖 2a和2b為催化劑SnO2/TS-1的掃描電鏡(SEM)照片, 圖 2c為TEM圖片.由圖可知, 采用超聲溶膠凝膠法制備的SnO2/TS-1(SnO2負載量42%)為圓球狀.從圖 2b可以清晰看到SnO2負載在鈦硅分子篩TS-1上, 從圖 2c的高倍TEM照片中可以看出, 球狀SnO2/TS-1由許多納米粒子組成, 納米粒子直徑在10~20 nm之間, 納米粒子之間形成了孔.圖 2d為球狀SnO2/TS-1樣品的高分辨投射電鏡(HRTEM)照片, 可以觀察到清晰的晶格條紋, 表明球狀SnO2/TS-1結晶良好.經測量晶面間距d值分別為0.287 nm(SnO2)和0.469 nm(TS-1), 紋路清晰可見, 進一步表明所制備的SnO2/TS-1粉末純度高。

圖 2催化劑SnO2/TS-1的SEM(a、b)、TEM(c)和HRTEM(d)照片
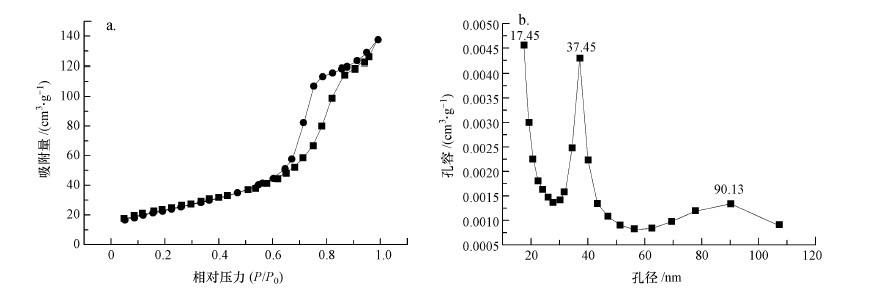
從圖 3a可以看出有較大滯留環, 表明該催化劑為多孔結構.由圖 3b可知, 催化劑SnO2/TS-1(SnO2負載量42%)的孔徑主要分布在17.45、37.07和90.13 nm左右, 平均孔徑為46.81 nm, 為介孔結構(Sing, 1985).介孔結構催化劑具有載容量高、比表面積大的特點, 能提供光催化降解反應的場所, 提高降解效率.因此, 所制備的催化劑SnO2/TS-1有望在光催化降解染料廢水中表現出良好的光催化性能.經過計算, 催化劑SnO2/TS-1的比表面積為270 m2·g-1.

圖 3催化劑SnO2/TS-1的N2吸脫附等溫曲線(a)和孔徑分布(b)
3.2 光催化條件的確定
由圖 4可知, 羅丹明B的降解率隨著光照時間的延長而增大, 當光照時間為60 min時, 降解率趨于恒定.因此, 選擇最佳光照時間為60 min.

圖 4光照時間對羅丹明B降解率的影響
固定羅丹明B的量, 改變催化劑的用量, 考察其對光催化降解的影響, 結果見圖 5.由圖 5可知, 在不使用催化劑時, 羅丹明B幾乎沒有降解; 隨著催化劑用量的增加, 羅丹明B的降解率不斷增加, 但增加到一定值時, 其降解率反而下降.這是因為增加催化劑用量, 光量子數目和反應活性位增加, 提高了光催化反應的速率; 當繼續增加催化劑的用量時, 催化劑對入射產生散射和屏蔽, 有效光量子點數目下降, 目標物的降解率反而降低.實驗體系選擇催化劑的用量為30 mg。

圖 5催化劑用量對光催化降解羅丹明B的影響
3.3 催化劑合成工藝參數對降解率的影響3.3.1 pH對降解率的影響
由圖 6a可知, 隨著pH值的增大, 羅丹明B的降解率增加, pH為7.0~8.0時, 降解率達到最大, 為96.44%;一旦pH超過8, 降解率反而下降.其原因是Cl-的過多引入, 導致離子效應顯著, 進而影響SnO2·nH2O納米粒子的粒徑與負載, 最終影響到SnO2/TS-1的光催化活性。

圖 6 pH(a)、焙燒溫度(b)及SnO2負載量(c)對羅丹明B降解率的影響
3.3.2 焙燒溫度對降解率的影響
由圖 6b可知, 焙燒溫度在300~600 ℃之間時, 羅丹明B的降解率出現先升后降.當焙燒溫度從350 ℃升至450 ℃時, 催化劑SnO2/TS-1的催化活性增大, 降解率上升至96.44%;但當焙燒溫度大于450 ℃時, 降解率呈下降趨勢.可能是因為高溫造成粉末燒結團聚, 比表面積減小, 影響了催化劑的活性; 也可能是如文獻(Yang et al., 2010)所述:由于焙燒溫度過高, 造成催化劑晶型改變, 從無定型晶體轉化為不穩定的正交晶型, 影響了催化劑SnO2/TS-1的活性。
3.3.3 負載量對降解率的影響
由圖 6c可知, 當SnO2負載量在0~70%之間時, 羅丹明B的降解率出現明顯的先升后降.純TS-1的催化率為10%, 當SnO2負載量為42%時, 催化率達到最大, 隨后降低.其原因是當SnO2呈單分散時, 催化光量子點分布廣且最大化, 實驗體系選擇SnO2負載量為42%。具體聯系污水寶或參見http://m.xhxdt.com更多相關技術文檔。
3.4 催化劑可重復利用性能測試
圖 7為催化劑SnO2/TS-1的穩定性實驗結果.由圖 7可知, 經5次循環使用, 催化降解率有所下降, 但仍然可達到近90%.其原因可能是載體與納米材料的結合牢度下降, SnO2的負載量減少, 用于催化的光量子點減少, 影響其光催化活性.因此, 改善SnO2負載方式使其在鈦硅分子篩表面的鍵合能力得到提高還有待進一步研究。

圖 7 SnO2/TS-1光催化降解羅丹明B的穩定性
3.5 工業印染染料降解
圖 8為SnO2/TS-1對4種染料酸性藍、活性黑、RGFL黃、酸性紅A-2BF的光催化降解效果.本文以紡織印染廠實際染料為目標降解物, TOC與COD的線性關系及降解率為評價標準, 研究催化劑對印染廢水降解效果的影響, 實際使用的印染染料來自德美染料助劑有限公司.經測定, 催化劑對酸性藍、活性黑、RGFL黃、酸性紅A-2BF的降解率分別為99.85%、99.78%、96.15%和94.65%, 4種染料的TOC與COD均有較好的線性關系:y=ax+b, 其中, a分別為0.307、0.301、0.412、0.503, b分別為24.877、24.687、16.450、16.304, R2均大于0.98, 且TOC與COD的下降率分別為89.3%~96.4%和81.6%~90.4%(陳誠等, 2015).這表明SnO2/TS-1對實際印染染料有較好的降解效果.

圖 8 SnO2/TS-1對實際染料的光催化降解
4 結論(Conclusions)
1) 采用超聲波溶膠-凝膠法制備了球形負載型納米光催化劑SnO2/TS-1, 其中, SnO2負載量為42%, 催化劑比表面積為270 m2·g-1, 平均孔徑為46.81 nm。
2) 所制得的SnO2/TS-1光催化劑在高壓汞燈(功率250 W, λmax =365 nm), 光照60 min, 每100 mL廢水催化劑用量為30 mg的條件下, 對羅丹明B的光催化降解率達到96.44%, 重復利用5次, 仍然可保持較高的催化活性。(來源:環境科學學報 作者:周新晨)


