1 引言
地下水污染風險評價對地下水的管理與保護起著重要作用.英國地質學家Morris等指出, 地下水污染風險的定義是含水層中地下水由于其上的人類活動而遭受污染, 其程度到不可接受的水平的可能性.部分學者還考慮到地下水被污染后其價值功能可能發生的變化.國內外對地下水污染風險評價形成了各種體系, 從地下水污染風險評價的定義及其發展可以看出, 地下水污染風險評價主要是基于含水層脆弱性評價進行, 而對含水層脆弱性評價使用最多的是疊置指數法.目前使用最為廣泛的方法是基于美國環保局(EPA)1987年提出的DRASTIC模型或者其改進模型進行地下水脆弱性評價, 以及結合污染荷載、地下水價值進行地下水污染風險評價.
傳統的地下水污染風險評價體系以1988年世界衛生組織(WHO)與泛美衛生組織(PAHO)聯合提出的方法為代表, 簡稱WP體系, 評價結果受人為因素影響較大, 且評價結果不夠精確.該體系將污染負荷與地下水防污性能分開考慮, 未能充分刻畫出污染物在包氣帶中遷移轉化的過程.
針對地下水污染風險評價體系存在的問題, 本文提出可以更準確刻畫污染物在包氣帶中衰減過程和污染物輸移過程的方法體系, 通過引進“折減系數”概念, 充分考慮包氣帶巖性、結構、厚度的差異、污染物屬性特征等因素對污染物在包氣帶中遷移轉化過程的影響, 對污染物在包氣帶中的衰減過程進行刻畫.基于該體系方法, 使得污染物穿透包氣帶到達地下水這一過程的量化變得簡潔、易操作.
2 方法
2.1 評價方法體系
地下水的污染是一個復雜的過程, 首先需要明確地表污染源的類型.根據污染源類型, 對地表污染物排放量進行計算.地表污染物穿透包氣帶介質進入地下水的這一過程, 涉及到水文地質環境、污染物降解性、遷移性等諸多因素.本研究提出了“折減系數”來量化污染物在包氣帶中衰減的過程, 將地表污染物量與其對應的折減系數相乘得到其到達地下水面的量.再把到達地下水面的污染物量與該污染物毒性結合, 利用ArcGIS9.3軟件得到基礎地下水污染風險評價圖.
地下水價值是其重要性的體現, 反映了地下水被污染后其價值功能可能發生的變化, 即一旦被污染, 地下水價值越大的地方后果越嚴重.將基礎地下水污染風險評價和地下水價值按照疊置指數法疊加即可得到地下水污染風險分級, 該方法體系框架如圖 1所示.

圖 1地下水污染風險評價框架
該體系分為4個層次, 首先, 根據包氣帶介質分區及每種污染物遷移屬性得到每一種污染物對應每一個包氣帶分區的折減系數;然后, 由該污染物進入包氣帶的量與折減系數相乘得到該污染物到達地下水面的量;其次, 將到達地下水面的污染物量與污染物危害性疊加得到基礎地下水污染風險;最后, 將基礎地下水污染風險與地下水價值疊加得到地下水污染風險.該體系重在刻畫污染物在包氣帶中的衰減過程, 是從污染物通過包氣帶時量的衰減和危害性不變的本質層面考慮的.
該評價方法體系與傳統體系的不同主要體現在兩方面.首先,在該體系中, 把污染物的量和屬性分開來考慮, 把污染物屬性分為毒性和影響污染物在包氣帶中遷移轉化的屬性.污染物的危害性與污染物到達地下水的量放在同一層次疊加計算, 這樣考慮污染荷載更加合理, 把污染物對地下水產生的影響刻畫的更清楚.其次, 折減系數實現了對污染物在包氣帶介質中遷移轉化過程的量化, 既充分考慮了包氣帶介質的不同, 也考慮了每一種污染物性質的差異.與數值模擬法相比, 該方法更加簡潔易操作;與疊加指數法相比, 該方法更精確.
2.2 折減系數法的原理及推導
地表污染物隨著下滲水進入包氣帶垂向運移過程中, 可在包氣帶介質發生各種衰減作用, 其中, 吸附和降解是最主要的作用.這里將流出包氣帶介質的污染物質量與進入包氣帶介質的污染物質量之比定義為污染物穿透包氣帶時的折減系數.顯然折減系數的大小不僅取決于污染物本身的物理化學性質, 還取決于包氣帶的巖性、結構、厚度等因素.為了獲取折減系數, 可利用Multi-cell模型結合推流的概念, 建立一個模型.按照介質結構順序, 把包氣帶介質概化成多個連續的單元, 每一個單元作為一個獨立的均質結構單元.首先假設研究區范圍內的某一種污染物均勻地鋪在地表, 其基本過程為:假設污染物隨水垂向運移過程遵循推流模式, 在自地表向下進入每一個單元時, 水中的污染組分會與包氣帶介質產生吸附分配作用和降解作用, 在進入到下一個單元格后會以上一個單元格流出水溶液的濃度為起始濃度再進行分配和降解, 依次往復, 最終從最后一個單元中流出的液相濃度即為污染物穿過整個包氣帶之后的出水濃度.
依據質量守恒定理, 即:mlr=mlc+ma+md(其中, mlr為流入介質內的污染物質量, mlc流出的污染物質量, ma吸附在介質內的污染物質量, md降解反應降解的污染物質量), 可推導出相應的計算公式.
按照污染物本身的物理化學性質, 可將污染物在包氣帶中發生反應的類型分為4種模式:① 不發生吸附反應也不發生降解反應;② 只發生吸附反應;③ 只發生降解反應;④ 既發生吸附反應又發生降解反應.4種反應類型依次簡稱為模式1、模式2、模式3、模式4.結合包氣帶的巖性、厚度、顆粒大小, 量化出每一種污染物經過包氣帶后, 包氣帶對其的消減作用, 即“折減系數”.折減系數推導過程如下.
污染物進入包氣帶介質中, 依據質量守恒定理可得:
(1)
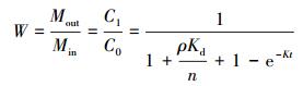
式中, Min為在t時間內進入單元體的溶質質量;Mout為在t時間內流出單元體的溶質質量;Ms為t時間內由于吸附反應消耗的溶質質量, 模式1、模式3中為0;Md為t時間內由于降解反應消耗的溶質質量, 模式1、模式2中均為0.
假設在理想條件下, 包氣帶介質是由均勻介質構成的, 溶質經過t時間從地表隨水流下滲穿透包氣帶介質.對于模式2, 本研究中將污染物發生的吸附反應認為是瞬時平衡的可逆線性吸附, 符合線性吸附公式;對于模式3, 降解反應主要考慮一級生物降解反應;對于模式4, 假設包氣帶介質中溶質的吸附和解吸能夠迅速地達到平衡, 屬于線性等溫吸附.并且, 在包氣帶土壤水介質中發生的生物降解反應符合一級衰減動力學方程.于是可以得到:
(2)
(3)
(4)
式中, n為土壤孔隙度;ρ為土壤介質容重;V為垂向單位土壤介質的體積;C0為初始時刻液相濃度;C1為t時間單元體的液相濃度;S1為t時間內單元體的固相濃度, 模式1中為0;D1為t時間內單元體消耗的濃度, 模式1、模式2中均為0;Kd為達到吸附平衡時固相和液相污染物的分配系數;K為降解速率常數.
折減系數W的計算公式如式(5)所示, 而污染物的阻滯系數R=1+ρKd/n, 因此, 式(5)可以化簡得到式(6).

(5)

(6)
然而, 實際情況中包氣帶介質垂向結構十分復雜, 由不同類型的土壤介質組成, 每一種土壤介質都有不同的阻滯系數, 而且每一種土壤介質的厚度及滲透系數都不同, 所以, 污染物穿透每一層土壤介質的時間t也不同.按照土壤介質結構順序, 把包氣帶介質分成多個部分, 每一種介質作為一個單獨的均質結構, 使用上述均質公式(4)進行計算, 將在包氣帶介質中發生吸附作用(或者吸附作用和降解作用)后流出的該部分的污染物液相濃度作為進入下一個均質部分的初始濃度進行計算, 其他各個土壤介質遵循同樣的方法, 最終從最后一個土壤介質類型中流出的液相濃度即為污染物穿透整個包氣帶厚的出水濃度.由于每個水文地質區包氣帶介質的厚度也不同, 因此, 本研究中將計算出的折減系數進行歸一化處理, 污染物在每一個水文地質分區內的歸一值為該污染物穿透包氣帶介質后的量與水流穿透該包氣帶介質厚度的時間t的比值.
在包氣帶介質中既發生吸附反應也發生降解反應的污染物穿透包氣帶介質時的折減系數W推導公式為:

(7)
式中, 對于模式1, Ri、K始終為0;對于模式2, K始終為0.各模式的折減系數公式具體見表 1.
表 1 各模式折減系數公式

2.3 包氣帶介質分區概化
包氣帶介質的巖性、結構、厚度均會影響污染物在其中遷移轉化的過程, 而實際中包氣帶介質結構復雜, 為了便于計算, 以及實現量化過程的可操作性, 需要對其進行分區概化.基于所收集資料, 通過研究區已有的鉆孔剖面資料對研究區進行包氣帶介質分區, 利用鉆孔剖面與研究區水文地質圖結合研究區包氣帶形成過程, 考慮研究區地形地貌特征, 推斷不同包氣帶介質中最具典型的包氣帶巖性與厚度, 從而實現對研究區包氣帶水平分區和縱向分層.
3 材料
3.1 研究區概況
石家莊地處河北省中南部, 位于北緯37°26′~38°46′, 東經113°31′~115°29′之間.本次研究區主要包括石家莊市區、鹿泉市、正定縣、靈壽縣與平山縣區域, 研究區位置與范圍如圖 2所示.區內最大河流為滹沱河, 所形成的河床及河漫灘一般寬度為2000~4000 m.由于上游修建了黃壁莊水庫, 河水受到人工控制, 所以通常滹沱河河道內只有汛期才有水通過.研究區內有黃壁莊水庫與崗南水庫兩大水庫, 崗南水庫是河北省管轄的庫容最大的水庫, 崗南水庫與黃壁莊水庫主要作用以防洪為主, 并結合發電、農業灌溉、工業供水和省會石家莊城市生活、環境供水等為一體, 為石家莊最重要的水源地.

圖 2研究區位置與范圍
3.2 地下水污染風險評價
3.2.1 污染荷載
研究區主要污染源類型有工業污染源、生活污染源、農業污染源、垃圾填埋場及排污河5類, 地下水中主要的污染物在這5類污染源類型中都會產生, 因此, 認為地表每一種污染物的排放量是這5類污染源排放的共同結果.實測代表性污染源中各種污染物的排放濃度, 根據每種污染源的情況對該污染源污染物的排放量化, 其計算公式為:
(8)
式中, Qij為實測污染源j污染物i濃度(mg·L-1), λ為地表入滲系數, Sj污染源j區域面積(m2);Lij表示污染源j單位面積上污染物i濃度(mg·m-2·a-1), Qj表示污染源j污水排放量(L·a-1), 具體對每一種污染源而言計算方法不同.這5類污染源產生的特征污染物共有21種, 分別為:COD、氨氮、亞硝酸根、氯離子、氟、硝酸根、硫酸根、鈉離子、鐵、錳、砷、苯并(a)芘、熒蒽、芘、芴、苊、萘、甲苯、三氯甲烷、六氯苯、1, 2二氯苯.利用ArcGIS9.3軟件分別對每一種污染物在5類污染源類型中的排放量進行矢量圖繪制, 并利用軟件中的柵格疊加功能將該種污染物在每一種污染源類型中的排放量進行疊加計算, 最終得到市研究區污染物地表分布, 結果見圖 3.

圖 3石家莊市研究區污染物地表量化分布
3.2.2 包氣帶介質分區概化
研究區地下水主要賦存于多層交疊第4系松散沉積物中, 水文地質條件具有明顯的水平和垂直分帶性.自西向東含水層介質粒徑變小, 含水層層次逐漸增多, 富水性由強變弱;在垂向上, 含水層的上部及下部砂層粒度較細, 厚度較小, 中部砂層粒度較粗, 厚度較大.巖性結構也由最初的單一砂、卵礫石層過渡至頂部有薄層粘性土覆蓋的砂、卵礫石層, 最后變成粘性土夾雜著多層砂卵礫石層.地下水徑流條件由強變弱, 富水性由好變差.污染物在包氣帶中遷移轉化的程度與進入地下水中量的多少取決于包氣帶的巖性、結構、厚度.選擇2條有代表性的剖面, 剖面巖性如圖 4a、4b所示(注:均根據地質礦產部河北水文工程地質勘察院(2004)簡化繪制).研究區主要由滹沱河的沖洪積扇形成, 滹沱河兩側包氣帶巖性存在一定相似性, 在巖性剖面沒有覆蓋的區域參考滹沱河對稱區域包氣帶.研究區包氣帶厚度分布特征由研究區地下水位埋深得到.

圖 4石家莊市平原區包氣帶分區(a.剖面I-I′巖性圖;b.剖面IV-IV′巖性圖;c.研究區包氣帶分區;d.研究區巖性分區概括(圖中數據表示厚度(m))
對石家莊平原區包氣帶介質進行分區概化, 共概化為9個不同類型包氣帶介質(圖 4c), 分別為A、B、C、D、E、F、G、H和I區, 對于每個地質區包氣帶巖性剖面參考相應區域整體包氣帶屬性來代替整個水文地質區的巖性.巖性剖面用典型的鉆孔巖性來代替整個水文地質區的巖性, 包氣帶巖性分區概括如圖 4d所示.
3.2.3 折減系數計算
研究區的包氣帶介質概化為9個不同的水文地質分區, 依據折減系數的定義, 對于每一種污染物, 在9個包氣帶介質分區對應著9個不同的折減系數.包氣帶介質的土壤容重參考各巖性土壤密度經驗值賦值;滲透系數參考松散巖石滲透系數, 孔隙度參考文獻賦值;由于分配系數Kd隨包氣帶介質中有機碳含量的變化而變化, 實際情況中介質中的有機碳含量較難直接獲取, 考慮用土壤介質中粘粒的百分含量代替.為了便于說明, 在本研究考慮的污染物中選擇COD為例計算折減系數, 結果如表 2所示.
表 2 COD折減系數計算表

COD在土壤水環境中會發生吸附、沉淀反應, 且容易被生物降解, 其中, 生物降解是導致COD降低的主要原因.根據文獻調研, 可以得到COD在包氣帶介質中的降解系數為0.0453.認為COD在包氣帶介質中發生吸附反應和降解反應, 按照穿透包氣帶介質時發生吸附和降解反應對應的折減系數推導公式, 計算得到COD在A、B、C、D、E、F、G、H和I區的折減系數依次分別為0.0274、0.0682、0.1890、0.0731、0.0679、0.0621、0.0801、0.0678和0.0908.因此, COD穿透包氣帶介質后的量及歸一化值按式(9)、(10)計算.
(9)
(10)
式中, Q1為COD穿透包氣帶介質后的量(mg·m-2·a-1), Q2為COD地表量(mg·m-2·a-1), a為折減系數, Qt為COD歸一化值(mg·m-2·a-1), t為水流穿透該包氣帶介質厚度的時間.
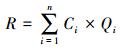
地下水受到污染源污染, 歸根結底表現為污染源排放的一定數量的特征污染物透過包氣帶, 對地下水環境造成破壞.進入含水層特征污染物的數量與污染源的排放數量有關, 而特征污染物對地下水環境的破壞則需考慮其自身屬性.污染物的遷移性與降解性等性質已經包含在污染源量化過程中, 這里考慮特征污染物的毒性, 參考DZ/T 0290-2015《地下水質量標準修訂》和GB5749-2006《生活飲用水衛生標準》.其中, 污染物濃度限值越大, 說明其毒性越小, 根據污染物濃度限值從大到小排序, 依次賦值.基礎污染風險的計算公式為:

(11)
式中, R為地下水基礎污染風險, Ci為第i種污染物毒性評分, Qi為第i種污染物到達地下水面的量的評分.利用ArcGIS軟件的柵格疊加功能將所有污染物對地下水的污染風險疊加起來得到地下水污染風險評分, 利用Natural Breaks進行分級即得到基礎地下水污染風險分級(圖 5a).

圖 5地下水污染風險分級(a.基礎地下水污染分級, b.富水性分級)
由于資料缺少, 本研究中僅用研究區富水性強弱來表示地下水價值大小, 在本文中, 不影響對折減系數的討論.由研究區水文地質圖得到該區的富水性分級(圖 5b).崗南水庫到黃璧莊水庫下游河道及周圍富水性最強, 周圍區域較強.
3.3 地下水污染風險評價結果與驗證
地下水污染風險評價依據公式Z=R×a1+V×a2計算, 其中, Z為地下水污染風險, R、V依次分別為基礎地下水污染風險、地下水價值;a1、a2分別為地下水基礎污染風險、地下水價值的權重值.本研究認為地下水基礎污染風險比地下水價值稍微重要, 計算得到的a1、a2分別為0.6、0.4.在得到研究區地下水污染風險分值的基礎上, 利用Natural Breaks方法實現等級劃分, 得到的石家莊市平原區地下水污染風險分級如圖 6a所示.

圖 6石家莊市平原區地下水污染風險評價結果及驗證(a.地下水污染風險分級, b.地下水采樣點水質分級)
石家莊市平原區地下水污染風險評價結果表明, 地下水污染風險最高的區域位于石家莊市區東北側, 該區域為老工業基地及其他工業聚集區, 很多重型污染企業分布在此區域, 不同類型污染源排放的相應污水可能是造成該地區地下水風險較高的一個原因.其次為滹沱河河道及周邊區域, 受上游水庫截流的影響, 研究區內大多數河流常年斷流, 形成“有河皆干、有水皆污”的狀況, 且河道包氣帶基本以砂性土為主, 這種包氣帶結構和巖性有利于地下水的補給, 且該帶地下水極富水, 故其脆弱性強.加上滹沱河河道長期受居民區污水影響, 綜合各類因素導致該地區地下水污染風險較高.地下水污染風險最低的地區為農田區.整體來說, 包氣帶介質巖性和厚度的差異、污染物屬性特征與分布污染源類型的不同是造成地下水風險評價存在差異的主要原因.其中, 工業污染類型是影響地下水污染的主要污染源, 其次為居民區污水的排放, 農業污染源對地下水的影響最小.
基于對研究區地下水采樣測試結果, 采用單指標最大類別法評價每一個采樣點處地下水水質, 利用ArcGIS的空間分析功能得到研究區地下水采樣點水質分級圖如圖 6b所示.可以觀察到, 地下水水質分布與污染風險分布大致一致, 污染風險較高區域對應點地下水水質也較差, 污染風險較低區域地下水水質較好.具體參見污水寶商城資料或http://m.xhxdt.com更多相關技術文檔。
4 結論
1) 引入“折減系數”實現了污染物由地表到達地下的衰減量化過程刻畫, 使得污染物穿透包氣帶到達地下水這一過程的量化變得簡潔、易操作.折減系數推導過程涉及到包氣帶介質的巖性、厚度、孔隙度、土壤容重, 污染物降解速率等, 可以較為充分地概括包氣帶水文地質條件及污染物的性質.
2) 該評價體系運用于石家莊滹沱河平原區的結果表明, 地下水污染風險最高的地區多為工業區, 與研究區工業污染源分布區域相符合;其次為滹沱河河道及其附近區域, 河道包氣帶以砂性土為主, 河道及其附近地區常年有排污河河水下滲, 且該帶含水層富水性極好, 故其污染風險較高;大部分農田區污染風險較低, 農田區污染源排放量較小.


