2,4,6-三氯苯酚作為防腐劑、 殺菌劑、 防霉劑[1, 2]廣泛應用于各類制造業,導致大面積土壤、 地表水、 地下水受到了氯代有機物的污染[3, 4, 5],在污水廠剩余污泥中亦有發現[6]. 因其高毒性,持久性和致癌性,2,4,6-TCP被美國、 中國等國家列入優先控制污染物[7, 8].
多氯酚很難在好氧條件下降解,而在氧化還原電位低的厭氧環境中,在相應酶的作用下進行厭氧還原脫氯,代謝速率較高[7],且厭氧脫氯的原理與應用對于修復土壤或地下水更具現實意義,受到研究者的重視. 通過富集活性污泥可獲得厭氧降解2,4,6-TCP的混合微生物[9],氯取代基被脫除后,生物毒性大大降低[10, 11],再通過好氧處理,可實現徹底礦化. 對于復雜的氯代化合物,其礦化過程具有步驟性,每步生成的產物往往越來越不容易脫氯[17],且脫氯菌與其他厭氧細菌形成復雜的互養關系而受到制約[18, 19],相關研究有待進一步深入. 目前已從土壤、 地下水中分離鑒定出多種氯酚降解菌[12, 13, 14, 15, 16],這些微生物以有機物作為電子供體,有機氯代物作為電子受體進行呼吸代謝作用. 其中,Dehalococcoides ethenogenes、 Dehalobacter restrictus等通過還原脫氯酶進行脫氯呼吸,另外,異化鐵還原菌的脫氯作用近年來成為研究熱點[13, 14],如Gobacter、 Shewanella、 Desulfitobacterium等,這些微生物可同時進行Fe(Ⅲ)還原與脫氯呼吸. 在不同的微生物及環境條件下,厭氧脫氯轉化過程受到影響,并顯著影響脫氯速率. 因此深入研究2,4,6-TCP在厭氧污泥群中的代謝特性和影響因素對于實現2,4,6-TCP徹底礦化,深入還原脫氯機制具有重要的意義.
本研究通過馴化活性污泥富集2,4,6-TCP還原脫氯污泥,探索厭氧條件下馴化污泥對2,4,6-TCP還原脫氯途徑、 代謝特征和影響因素,探討相關機制,以期為加速還原脫氯的方法、 實現多氯酚的徹底礦化及實際應用提供理論基礎.
1 材料與方法
1.1 基本營養物
研究中所采用的培養基含有以下物質: ①主要營養物質(×10-2 g ·L-1): KCl(0.15),KH2PO(1.36),NH4Cl(2.68); ②微量元素(×10-3 g ·L-1): CoCl2 ·6H2O(0.024),ZnCl2(0.075),H3BO3(0.019),NiCl2 ·6H2O(0.024),Na2Mo4 ·2H2O(0.024),FeCl2 ·4H2O(1.344),MnSO4 ·4H2O(0.026),MgSO4 ·7H2O(1.556),CaCl2 ·2H2O(2.336),CuSO4 ·5H2O(0.009),AlK(SO4)2 ·12H2O(3.446); ③ 維生素(×10-3 mg ·L-1)[20]: 生物素(20),葉酸(20),維生素B6(100),維生素B1(50),維生素B12(1),對氨基苯甲酸(50),泛酸(50),維生素B6(100),硫辛酸(50); ④酵母浸膏: 0.002%. 其余物質根據實驗內容另行添加.
1.2 污泥馴化
污泥取自上海市長橋污水處理廠二沉池回流污泥,其中未測得氯酚類物質. 馴化前,將污泥淘洗3次,接種至可密封厭氧瓶內,添加1.1節所述營養物質. 添加乳酸鈉(20 mmol ·L-1)、 2,4,6-TCP(50 μmol ·L-1),所有物質添加完畢后定容至1 L,氮氣吹脫20 min密封,置于恒溫磁力攪拌器上,內置磁力攪拌子,30℃條件培養,定期更換培養液. 培養液加入前經高純N2吹脫20 min,更換時以N2保護,維護反應所需的厭氧條件. 定期檢測酚類物質濃度變化,直至馴化完成.
1.3 實驗方法
間歇實驗按照以下步驟進行: ①配制培養基: 按1.1節所述配方以去離子水配制基本營養物培養基,分裝至100 mL厭氧瓶內,高純氮氣吹脫20 min密封,121℃滅菌后待用. 實驗時,根據實驗內容,N2保護下分別添加各類物質: 乳酸鈉(10 mmol ·L-1或20 mmol ·L-1); 2,4,6-TCP、 2,4-二氯苯酚(2,4-DCP)、 4-氯苯酚(4-CP)、 苯酚,添加濃度為40-80 μmol ·L-1; 檸檬酸三鐵(FeC6H5O7,1、 5、 10 mmol ·L-1)、 腐殖質模式物蒽醌-2,7-雙磺酸鈉(2,7-AQDS,1、 5、 10 mmol ·L-1). 所有實驗均為3組平行,結果取平均值,所有物質添加完畢后接種馴化污泥. ②污泥接種: 取出適量馴化污泥,無氧條件下淘洗,置于混勻器(GS-10)上,N2保護條件下利用注射器抽取10 mL,接種至100 mL厭氧瓶內,以去離子無氧水定容至50 mL. ③ 置于恒溫培養箱(HZQ-X160)內振蕩培養,定時取樣檢測. ④取樣: N2保護下,利用無菌注射器抽取液體樣品,利用微濾膜(0.45 μm)過濾待測. 以Agilent 1100高效液相色譜儀(波長282 nm的紫外熒光器,ZORBAXSB-C18反相色譜柱)檢測液相2,4,6-TCP、 2,4-DCP、 4-CP和苯酚濃度,流動相為甲醇水溶液,體積比為甲醇 ∶水(含1%醋酸)=80 ∶20,溫度為25℃,流動速率為1mL ·min-1,檢出限0.1mg ·L-1,加標回收率>98%. 采用Cervantes等[21]描述的方法于450 nm波長處用UNICO 1200 型分光光度計測定其還原態AH2QDS 的吸光度. 采用ICS-1000離子色譜測定液相總Fe(Ⅱ)濃度,樣品量50 μL,分離柱IonPac CS5A+CG5A,流速1.2mL ·min-1,柱后與PAR反應(530 nm). 采用Multi N/C UV HS 型TOC儀(NDIR檢測器)測定樣品中的總有機碳(TOC),樣品量500 μL,檢測限0.05mg ·L-1.
1.4 主要試劑
蒽醌-2,7-雙磺酸鈉,分析純,購于東京化成工業株式會社; 2,4,6-三氯苯酚、 2,4-二氯苯酚、 4-氯苯酚、 檸檬酸鐵等其他藥劑均為分析純,購于國藥集團化學試劑有限公司; 高純氮氣購于上海南匯化工輕工有限公司.
2 結果與討論
2.1 污泥厭氧降解2,4,6-TCP特性
馴化初期,2,4,6-TCP需30 d實現初始性降解,馴化至90 d時,2,4,6-TCP 24 h內轉化率達到100%,此時認為污泥馴化完成. 9個月的實驗中,100%轉化2,4,6-TCP一般耗時為9-24 h. 厭氧條件下,大多數氯酚都可通過還原脫氯過程逐步脫氯,降低毒性. 已有研究顯示[22],2,4,6-TCP厭氧脫氯的中間產物可能有2,4-DCP、 4-氯酚、 苯酚,苯酚開環轉化為苯甲酸進而通過厭氧產甲烷作用生成CH4和CO2. 本研究中,產物經HPLC檢測有2,4-DCP、 4-CP、 苯酚,有少量CH4和CO2產生(未做準確測定),2,4,6-TCP降解曲線及中間產物變化見圖 1. 其中,初始濃度為66 μmol ·L-1的2,4,6-TCP 24 h內轉化率為100%. 2,4-DCP濃度較低,多批次的實驗中2,4-DCP濃度一般在0-4.22 μmol ·L-1,4-CP會逐漸累積,少量轉化為苯酚. 9個月多批次實驗中,2,4,6-TCP始終未實現最終性降解,終產物為4-CP和少量苯酚,這與相關研究相符[19, 22, 23, 24, 25, 26, 27],TOC在這一過程中降解率較低(<20%),可見,單獨厭氧降解可實現快速脫氯,但難以實現2,4,6-TCP及有機物的的徹底礦化. 與已有研究相比(見表 1),馴化污泥具有快速轉化2,4,6-TCP的能力,這說明通過本實驗的馴化方法可富集大量厭氧脫氯細菌. 厭氧降解殘留物主要包含4-CP、 苯酚和有機物,通過好氧污泥(未馴化)處理后,殘留的4-CP(反應初始濃度33 μmol ·L-1)2 h后無檢出,6 h TOC去除率>90%,無酚類物質和苯系物檢出. 因此,加速2,4,6-TCP的厭氧脫氯是實現其徹底礦化的關鍵,深入研究厭氧脫氯的影響因素和相關機制具有重要的意義.

圖 1 污泥厭氧/好氧降解2,4,6-三氯酚及中間產物變化
表 1 馴化的厭氧污泥或富集培養物降解
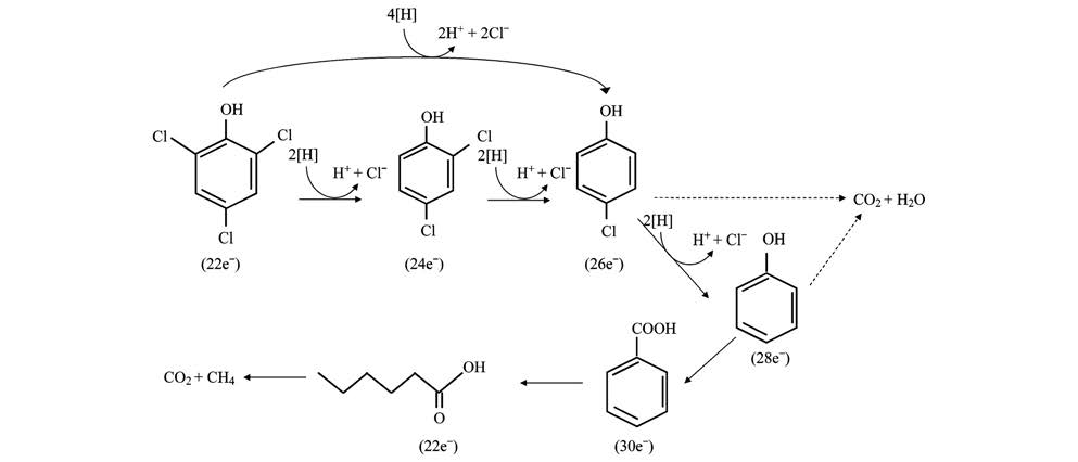
根據Lffler等[28]的理論,乳酸鈉為氯代有機物提供電子,通過微生物的呼吸鏈傳遞給氯代有機物使其還原脫氯,這一過程產生的能量被微生物轉化為ATP. 根據空間位阻效應理論,2,4,6-TCP先是逐個脫去鄰位的氯,然后再脫去對位氯. 而本體系中,在降解初始4-CP濃度即增加,2,4-DCP一直有檢出,但濃度一直很低,且未發現累積過程,推斷存在2,4,6-TCP同時脫去兩個鄰位的氯的途經[29]. 同時,本實驗中,2,4-DCP在體系中的出現說明存在2,4,6-TCP經由2,4-DCP中間體進而脫氯生成4-CP這一途徑. 上述兩種途徑可能同時發生,因此推測轉化途徑見圖 2.

圖 2 2,4,6-三氯酚厭氧/好氧降解途徑及電子數變化
2.2 污泥對中間產物的降解
研究中以乳酸鈉為電子供體,接種馴化污泥,分別添加2,4,6-TCP及其厭氧降解的中間產物2,4-DCP、 4-CP和苯酚及基本營養物質,于100 mL厭氧瓶內進行間歇培養實驗(具體方法見1.3節),考察各中間產物的降解特性. 結果發現,33 h馴化污泥對含鄰位氯氯酚(2,4,6-TCP、 2,4-DCP,初始濃度為84.1 μmol ·L-1、 45.3 μmol ·L-1)的初始性降解為100%,產物主要為4-CP(圖 3); 對位氯酚(4-CP,初始濃度為45.7 μmol ·L-1)降解率為22%,產物為少量苯酚; 而苯酚(初始濃度68.4 μmol ·L-1)基本未降解.

圖 3 馴化污泥對中間代謝產物的降解
Mohn等[30]發現對位氯在厭氧環境難以脫氯,4-CP分子結構的穩定性使得在酶作用下氯原子難以被親核取代. 當鄰位和對位或間位共存時,鄰位優先脫氯,因為該路徑具有較小的氧化還原電勢. 本研究中僅添加4-CP,無競爭存在,電子供體充足,無產物抑制,說明馴化污泥的對位氯降解功能有限,具有明顯的底物專一性. Li等[23]的研究顯示,一些脫氯菌的種屬對含對位氯的氯酚的降解止步于4-CP. 根據不同氯取代位置,厭氧脫氯一般需要不同的菌群或催化酶. Kim等[31]發現,降解2,4,6-TCP的Pseudomonas solanacearum TCP114和降解4-CP的Pseudomonas testosteroni CPW301不僅有嚴格的底物專一性,且2,4,6-TCP對4-CP降解菌產生毒性,兩類細菌難以共存. 因此,本研究的馴化污泥以脫鄰位氯降解菌為優勢,盡管馴化過程4-CP一直存在,但未富集出降解4-CP的優勢種群. 苯酚在本體系幾乎不降解,分析也是上述原因. 這一結果有重要的意義,在2,4,6-TCP的厭氧降解中,4-CP和苯酚的最終性轉化成為限制步驟. 因此,探明2,4,6-TCP和4-CP降解菌的生態關系、 強化微生物脫對位氯功能,是今后的研究重點.
2.3 電子介體影響
在已分離出的厭氧脫氯菌中發現很多種屬被證實在脫氯呼吸時伴隨三價鐵[Fe(Ⅲ)]的還原,一些電子介體顯著影響脫氯代謝[29]. 這類微生物分布廣泛,在不同的科、 屬中均有發現,是生態環境中重要的微生物群體. 其功能多樣,除Fe(Ⅲ),可將電子傳遞給不同的電子受體(如腐殖質). 研究中采用間歇實驗,以乳酸鈉為電子供體,以Fe(Ⅲ)(檸檬酸三鐵)和腐殖質模式物蒽醌-2,7-雙磺酸鈉(2,7-AQDS)作為電子介體考察二者對馴化污泥降解2,4,6-TCP的影響(具體方法見1.3節),另分別以Fe(Ⅲ)和AQDS為唯一電子受體考察未經馴化的污泥和馴化污泥對二者的還原能力,結果如下.
2.3.1 Fe(Ⅲ)
由圖 4可見,同對照組(未經馴化的接種污泥)相比,馴化的污泥可快速將Fe(Ⅲ)還原為Fe(Ⅱ),這說明污泥富集了一定數量的鐵還原菌. 由圖 5可見,隨Fe(Ⅲ)濃度的增加,2,4,6-TCP的降解速率逐漸加快,Fe(Ⅲ)濃度為1 mmol時即可明顯強化2,4,6-TCP的降解,濃度為10 mmol ·L-1時,24 h實現100%轉化,與對照樣相比縮短了9 h. Fe(Ⅲ)一方面可作為酶的激活劑促進代謝速率,另一方面可在一些微生物的作用下,作為呼吸鏈的電子受體接受降解有機物釋放的電子[32],再將電子傳遞給氯酚,加速脫氯過程中的電子傳遞. 鐵元素并未被微生物同化,這一過程發生在細胞外,因此其機制與“脫氯呼吸”不同,這種代謝方式又稱”胞外呼吸”. 能夠進行上述方式進行呼吸代謝的微生物稱異化鐵還原菌. 馴化污泥不僅可以還原脫氯,還具有還原Fe(Ⅲ)的功能,且Fe(Ⅲ)的存在強化了系統的脫氯,因此馴化污泥中應富集了異化鐵還原菌的相關種屬. 當含氯有機物存在時,Fe(Ⅲ)起到電子轉運的功能. 而提高Fe(Ⅲ)的電子轉運效率是強化還原脫氯的關鍵之一,因此深入研究異化鐵還原菌及在污泥中的地位、 功能對強化還原脫氯有重要的意義.

圖 4 馴化污泥還原Fe(Ⅲ)

圖 5 Fe(Ⅲ)對馴化污泥降解2,4,6-三氯酚影響
2.3.2 AQDS
由圖 6可見,乳酸鈉為電子供體AQDS為唯一電子受體時,馴化污泥可快速將AQDS還原為AH2QDS,24 h的還原率均可達到80%以上,而未經馴化的污泥AQDS還原能力有限,還原率均不到30%. 這進一步說明污泥中富集了一定數量的異化鐵還原微生物,并通過胞外電子傳遞的方式,以乳酸鈉為電子供體將電子傳遞給氧化態的AQDS,生成還原態的AH2QDS. 完成電子傳遞的是AQDS分子內的醌基,醌基接受氫后轉化為氫醌,因此這一過程又稱醌呼吸,醌呼吸是異化鐵還原菌代謝特性之一. 而同時添加AQDS和2,4,6-TCP時發現,AQDS明顯加快了2,4,6-TCP的脫氯,24 h降解率為90.4%,而對照樣為69.1%,見圖 7(10 mmol ·L-1、 5 mmol ·L-1 2,7-AQDS對HPCL出峰有干擾,數據未列出). AQDS不僅可在厭氧環境中充當有機物礦化的電子受體,而且可在異化鐵還原菌和可還原態物質(重金屬、 有機污染物、 染料等)之間充當電子穿梭體,促進這些物質的還原[33, 34]. 本研究進一步證明,AQDS可強化2,4,6-TCP還原脫氯,其原理可能是AQDS的介導作用加速了電子在微生物和有機氯之間的傳遞,目前尚無明確的結論,需進一步研究.

圖 6 馴化污泥還原轉化AQDS

圖 7 AQDS對馴化污泥降解2,4,6-三氯酚影響
馴化污泥可在不同的條件下由不同的脫氯機制主導,其中,一些微生物通過還原脫氯酶進行脫氯呼吸作用; 異化鐵還原菌在無電子介體時,進行直接脫氯作用. 當有電子介體時,則通過電子介體的介導作用,實現有機氯的還原. 電子介體為Fe(Ⅲ)時,部分微生物則同步進行異化鐵還原脫氯,為AQDS時,則進行醌呼吸脫氯,其本質均為胞外呼吸電子傳遞的代謝作用,且脫氯作用在電子介體的作用下得到強化,其電子傳遞途徑為: 有機物→異化鐵還原菌→電子介體→有機氯,污泥的脫氯途徑見圖 8. 因此,深入研究微生物之間相互聯系、 相互促進及介導機制等是今后亟待解決的問題.具體參見污水寶商城資料或http://m.xhxdt.com更多相關技術文檔。

圖 8 馴化污泥還原脫氯途徑
3 結論
(1)厭氧條件下,以乳酸鈉為電子供體,2,4,6-TCP為電子受體馴化活性污泥,可實現2,4,6-TCP快速初始性降解,9-24 h內40-80 μmol ·L-1 TCP可100%轉化,中間產物有2,4-DCP,終產物主要為4-CP及苯酚.
(2)馴化污泥以脫鄰位氯降解菌為優勢種群,可同時脫除2,4,6-TCP和2,4-DCP的鄰位氯,單獨降解4-CP和苯酚時,代謝速率慢,轉化率低,具有明顯的底物專一性.
(3)馴化污泥降解2,4,6-TCP殘留物經好氧污泥處理可實現快速徹底礦化,好氧條件下,殘留的4-CP(33 μmol ·L-1)2 h實現100%去除.
(4)馴化污泥可將Fe(Ⅲ)還原為Fe(Ⅱ),并具有較強的腐殖質(AQDS)還原能力,說明馴化污泥富集了異化鐵還原菌.
(5)電子介體Fe(Ⅲ)和AQDS可強化2,4,6-TCP轉化速率,在電子介體的介導作用下,厭氧污泥可同時進行胞外呼吸實現脫氯.(來源及作者:上海師范大學生命與環境科學學院 宋佳秀 李玲 盛凡凡 郭翠香 張永明 李祖元 王天麗 )


