活性污泥的沉降性能與剩余污泥量對活性污泥法污水處理工藝的運行和運行費用有重要影響.影響活性污泥的沉降性能(SVI)和剩余污泥量的因素有很多,一般認為SVI、剩余污泥量主要與污水類型、污泥負荷、反應器類型有關。在為某廠解決SBR系統曝氣反應初期溶氧低的問題時,筆者發現在SBR中, SVI、剩余污泥量還與反應器的進水時間和曝氣方式有關,并做了相應的研究。
1實驗裝置與方法
1.1實驗裝置
兩個直徑為19 cm 高40 cm的透明有機玻璃容器作為實驗SBR反應器。有效水深30 cm,因此有效容積為8.5 L。實驗的活性污泥來源于城市污水處理廠的剩余污泥, 經半個月左右的馴化后用于正式實驗. 反應器內平均活性污泥濃度3000mg/L左右。兩個反應器平行工作,用以比較。曝氣系統由一組設在反應器底部的微孔曝氣頭、空氣管道、可調式氣體流量計、電磁閥和氣源組成。電磁閥用以切換氣源(見圖1)。各反應器設置一小型攪拌器, 以47轉/分的慢速在反應器的進水階段及反應階段對混合液進行攪拌。
![]() |
1.2 實驗方法
本實驗是在運行周期均為6小時、反應時間為3小時,污泥負荷為Li =0.2 (d-1)和供氣總量相同的條件下,對四種運行方式進行比較:(I) 短時進水(以下縮寫為IF);(II) 30分鐘缺氧進水(以下縮寫為F30);(III) 30分鐘曝氣進水(以下縮寫為A-F30);(IV) 30分鐘缺氧進水及分級反應曝氣(以下縮寫為分級-A)。供氣總量為234升。四種運行方式的內容與時間分配為,IF:2分鐘缺氧進水, 3小時曝氣反應(曝氣強度為1.3 l/min),沉淀3/4小時,撇水0.5小時;F30:缺氧進水30分鐘,反應3小時(曝氣強度同IF的),沉淀1小時,撇水0.5小時;A-F30:曝氣進水30分鐘(進水、反應的曝氣強度均勻一致, 為1.1l/min),其余各階段同F30的;分級-A: 曝氣反應共3小時,反應階段前0.5小時,曝氣強度為2.5l/min,其后減小為0.90l/min;其余各階段同F30的。
1.3 廢水
本實驗用醋酸和氨鹽、磷酸鹽、微量元素配置成人造廢水進行實驗。廢水BOD5 =303mg/l。
2.實驗結果與討論
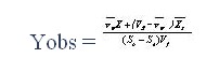
在本實驗條件下, 四種運行方式的實驗數據經統計整理, 按下列式子計算產泥率:
![]() |
式中: Yobs--- 污泥顯產率
So---進水基質濃度 (mg/l)
Se---出水基質濃度 (mg/l)
---每個周期排泥體積 ( l )
X----排泥時的污泥濃度 (mg/l)
----出水污泥濃度 (mg/l)
Vf---進水體積 ( l ); 本實驗為2.8l.
結果為, IF方式下活性污泥的產泥率為0.53,F30為0.48,A-F30為0.47,分級-A為0.33. 分級-A方式下的產泥率明顯低于運行方式IF和F30的 。
2.1 從一個周期基質量的變化分析運行方式對產泥率的影響
![]() |
圖2顯示的是按四種運行方式運行的各反應器一個周期內水中殘余COD的變化情況。實驗發現, 在IF的反應初期, COD有明顯的、速率較快的下降; 這是生物吸附引起的[3]. 類似的現象在F30的進水階段也被測得, 只是由于進水較緩、有利吸附的條件持續時間較長, 下降速率較小. IF反應初期及F30進水后階段, COD在下降之后的上升, 可分別認為是曝氣反應促使部分被吸附基質釋放和基質被吸附飽和之后濃度在混合液中增加的結果。A-F30的進水階段, 由于曝氣, 類似的吸附現象不明顯. 比較可見, 由于進水階段的吸附和少量生化反應(缺氧或好氧), 一個周期內, F30和A-F30的平均COD水平低于IF的; 而這三個方式下混合液中平均COD水平均高于分級-A的, 尤其是IF和F30反應的前半階段COD水平約是分級-A同期COD的2倍; 這主要是在分級-A方式下,生化降解反應比較強烈的緣故 (原因分析后敘) 。所以, 由于COD平均水平較低, 分級-A方式下微生物的內源分解大于合成, 活性污泥的產率較低; 而IF的情況則相反。同時可以查看中國污水處理工程網更多技術文檔。
2.2 從生物活動的角度理解運行方式對產泥率的影響
四種方式下生化反應強度的不同可由一個周期內SOUR隨時間的變化得到驗證。SOUR反映了生物活動強度[4]。從本實驗測得的數據(圖3)發現, SOUR與基質濃度、曝氣強度有關. F30和分級-A的進水階段,SOUR隨基質量的增加而上升. 實際上在缺氧的情況下, 好氧生物的活動很低,而OUR是在混合液先充氧況下測得的[5], 這一階段的SOUR值反映的是一種潛在生物活動能量。在反應階段的前50分鐘, 所有這四種運行方式的SOUR曲線均呈現一近似水平段. 這是在基質濃度飽和情況下, SOUR的最大值(記作SOURmax). 實驗表明SOURmax亦與曝氣強度有關。F30、IF方式曝氣強度為1.3l/min, SOURmax為3.1 ´10-4mgO2/l-min-mgMLVSS;. 分級-A第一階段曝氣強度為2.6l/min, SOURmax高達近4.0´10-4mgO2/l-min-mgMLVSS; A-F30曝氣強度為1.1l/min, SOURmax約為2.8´10-4mgO2/l-min-mgMLVSS。從圖4中可見,在A-F30、F30、IF方式的曝氣階段初期,DO接近于零。這是因為,反應器在平均值的曝氣強度下,供氧速率跟不上因強烈的生物活動引起的需氧速率。因而微生物活動受到抑制. 而分級-A的第一階段曝氣中, DO形成一突躍。這可認為在高于標準平均值的曝氣強度下, 供氧速率可超過因強烈的生物活動引起的需氧速率。因此,微生物活動強烈, SOUR值較高.由此可見, 在分級-A方式下的反應初期,較高的溶氧水平、因較大曝氣強度而加強的混合液攪拌和物質傳遞,加快了基質的生物降解,使微生物較早地進入內源呼吸狀態,因此污泥產率較低。而在其它三種方式下,溶氧不足抑制了生物活動, 生物降解相對較慢,推遲了微生物進入內源呼吸狀態,即微生物處于內源呼吸狀態的時間較短,污泥產率較高。
![]() |
2.3 運行方式對污泥性質的影響及其分析
實驗顯示, 四種方式下活性污泥的性質也不盡相同。圖5是根據實測數據繪制的四種方式下活性污泥的沉降曲線。曲線前半段的斜率可表示污泥的沉降速率,而后半段的縱坐標值和斜率則反映了污泥的壓縮性能。圖中可見,
![]() |
IF、A-F30與分級-A方式下污泥的沉降性、壓縮性均優于F30, 其中IF方式下污泥的沉降性、壓縮性最好,A-F30與分級-A的相近, 居次。沉降性好, 在沉淀階段有利于固液分離, 而壓縮性好則有利于污泥濃縮與脫水。從濃度梯度角度看, 按IF方式運行, 廢水瞬時進入SBR,混合液中的基質降解過程類似某一時刻進入連續、推流式反應器的一批混合液中的基質降解過程,濃度梯度大, 因而污泥性能好[6] 。進水時間越長, 反應器的f : r 比(進水:反應比)增大, 混合液中基質濃度梯度越接近完全混合反應器[7], 有利于絲狀菌生長, 污泥性能越差. 因而F30、A-F30與分級-A方式下的污泥性能要遜于IF方式下的。
![]() |
圖6為按分級-A方式運行的反應器(左)與按F30方式運行的反應器沉淀10分鐘時污泥的狀態。
結論
SBR進水階段的長短、是否曝氣, 反應階段曝氣強度的分布都會影響活性污泥的產率與性質。較長時間進水和反應初期高強度曝氣, 可使反應器污泥產率較低; 其中反應初期能克服需氧量的高強度曝氣對降低污泥產率作用明顯。快速進水方式下活性污泥的性能最佳。來源:谷騰水網








